
Me encantaría ayudarte, pero no respondo dudas universitarias que no tengan que ver específicamente con los videos que ya he grabado como excepcion. O de otras asignaturas que no sean matemáticas, física y química. Lo siento de corazón… Espero lo entiendas
Ojalá algun unicoo universitario se anime a ayudarte (de hecho lo ideal es que todos los universitarios intentarais ayudaros los unos a los otros)
Me atasque en este ejercicio de optimización que dice:
el perimetro de una ventana cuya forma es: un rectángulo con un triángulo isósceles cuya diagonal está pegada a la base superior (una casa con un tejado de 45º). Su perimetro es de 6 metros. Calcula las dimensiones para que tenga máxima luminosidad.
x: precio de la pintura barata por kg
y: precio de la pintura cara por kg
1)50 kg de la barata por el precio por kg más los 30 kg de la cara por su precio da el total: 3.3
2)y se cumple que x=1/2y
de 1 y dos formas sistema de ecuaciones lineales con dos incógnitas. Resolvés
50x+30y=3,3
x=1/2y
1º.- Montse tiene el triple de cromos que Rocío. Intercambian 8 de Montse (fáciles) por 3 de Rocío (difíciles). Ahora Montse tiene el doble que Rocío. ¿Cuántos cromos tiene ahora cada una?
2º.- En 4 días un hombre recorrió 120 km. Si cada día recorrió 1/3 de lo que recorrió el día anterior, ¿Cuántos kilómetros recorrió en cada día?
1º. Montse. x
Rocío. y
x=3y
x-5=2(y+5)
Sustituyo la primera en la segunda.
3y-5=2y+10
y=15, x=45
Ahora tiene Montse 45-5=40 cromos, y Rocío 15+5=20 cromos
2º. x+x/3+x/9+x/27=120. Hay que tener en cuenta que un terció de lo que andó es x+(1/3)x+(1/3)(x/3)+(1/3)(x/9)+...
(27x+9x+3x+x)/27=120
40x=3240
x=81km
1º
Rocío tiene "x" cromos
Montse tiene "y" cromos.
Montse tiene el triple que Rocío, por tanto puedo plantear que:
3x = y (la cantidad de cromos de Rocío multiplicada por 3 me dará la cantidad de cromos de Montse)
Si intercambian 8 de Montse con 3 de Rocío, existe una diferencia en número de cromos de 5 a favor de Rocío, es decir que si a la cantidad de cromos de Rocío (x) le añado esos 5 resulta que ahora Montse sólo tiene el doble de cromos que Rocío, pues lo represento:
2.(x+5) = y-5
REsolviendo el sistema
2x+10=y-5
3x = y x = 15 cromos tenía Rocío. y Monse 15*3=45cromos
2º)
Sea x la distancia recorrida el primer día
1er dia x
2º dia x/3
3er dia x/9
4º dia /27
x+x/3+x/9+x/27=120 40x/27=120 x=81
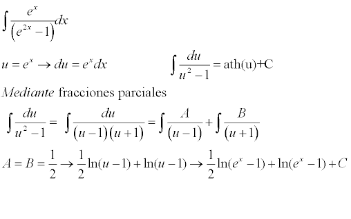
Buenas tardes, alguien podría contestarme porque tengo mal esta integral???
∫e^x/(e^(2x) - 1) dx
Yo la he visto inmediata , multiplicando por (-1) y me queda: -arctg(e^x) + K
Pero lo han hecho por cambio de variable y por cociente de polinomios y queda distinto quedan logaritmos, pero yo no entiendo porque no puede ser arctg.
Muchas gracias,
Como calculo el valor de n para que las rectas r) 2x-3y+5=0 i s)x+3/n+1=y/n sean paralelas.
Para que dos rectas sean paralelas, cuando están en forma general se tiene que cumplir lo siguiente:
A/A´ = B/B´ ≠ C/C´
En tu caso, pasamos la recta "s" a general simplemente multiplicando en cruz y nos quedaría: x*n + 3*n = y*n +y colocándolo como la forma general nos queda: nx - (n+1)y +3n = 0
Para que sea paralela tiene que cumplir 2/n = (-3)/ - (n+1) ≠ 5/ 3n
Volvemos a multiplicar en cruz y nos queda: -2 (n + 1) = -3n despejando n=2 Ahora solo queda comprobar que la segunda parte no es también igual sustituimos el 2 en B´ y C´
y nos queda que -3/-3 ≠ 5/6. Por tanto, se cumple la condición de paralelas.
Espero haberme explicado bien y que lo entiendas.