Buenas noches, quería pedir vuestra ayuda unicoos porque intente resolverlo pero no logre llegar a la respuesta correcta. Si pueden me dan un procedimiento correcto para entenderlo mejor. De antemano gracias.


Efectivamente la respuesta correcta es [-4,0] U [4, +00], hay solo un par de errores por ejm en el primer recuadro( -oo, -4) si reemplazas un numero negativo en -(x) te da positivo, en el tercero de la primera horizontal (0,4) ,-(x) te da positivo, te recomiendo utilizar el metodo que emplea David, a mi parecer es el metodo más sencillo, menos confuso, mas rápido y efectivo, suerte y exitos :) .
Buenas noches unicoos, tengo un problema con este ejercicio, me gustaría que me ayudaran.
Hallar los puntos de contacto de las tangentes horizontales y verticales de la siguiente curva.
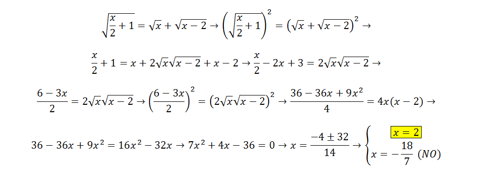
Hola, tengo problemas con resolver este ejercicio y intente pero no logro encontrarle lógica porque me queda una raiz cuadrada negativa y no llego a la respuesta la cual es :
R// ]-∞,+∞[ (Todos los reales) es la única información que tengo ademas del ejercicio
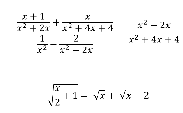
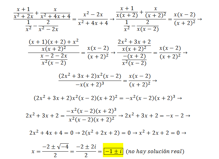
El problema es el siguiente y es de desigualdades, por favor explicármelo :D .
Hola, tengo una duda respecto al tema de limites.
Me piden demostrar limites usando la definición formal pero al momento de despejar me queda una x en el lado de epsilon.
Les dejo un ejemplo:
lim((3x-1)/(x-2)) =1/2 cuando x→0
Hola, en mi ejercicio me dan una matriz A de 2x2, y me piden encontrar una matriz B tamaño 2x3 con distintas entradas tal que AB=0; ¿alguien tiene alguna idea de como es que se realiza?, por favor... gracias.
Hola buenas noches, yo actualmente estoy estudiando un grado superior de administración y finanzas, por que hice el grado medio y me gustó, mi problema es que nunca e dado las matemáticas financieras y encima como es un instituto bilingue pues es todo en inglés.
Mi problema es cuando tengo que despejar la "x", en algunos problemas fáciles si se acerco lo malo es cuando se complica el ejercicio. Y en el instituto no me dan opción a que me lo expliquen si no que me busque la vida. Por favor ayuda, el examen lo tengo el miércoles 8 y no lo llevo bien. Gracias
Si las 2/3 partes de un capital producen 3300€, de interés, en 7 meses y 10 días, al 24% anual, ¿Cuál es el valor del mencionado capital?
Yo lo e desarrollado así según como lo tienen mis compañeros, pero no me sale haciéndolo sola y no se de donde sacan el valor de x por muchas formas distintas que lo ponga, no me sale:
I=PV*i*t
3300= 2/3x*0,24*(7/12+10/360)
3300= 0,66×*0,24
×= 3300/0,66*0,24= 20,83
La cuestión es que no se de donde sale ese 0,66×, se supone que es de calcular: 2/3*(7/12+10/360)
Pero cada vez que lo pongo en la calculadora me da otra cosa y ya no se que hacer, ni como ponerlo.
Gracias
Halla un número de tres cifras capicúa, de modo que las cifra de las decenas sea la suma de la cifra de las centenas más la de las unidades y que, si cambiamos las unidades por las decenas y viceversa, obtenemos un número 36 unidades menor.
El número pedido es 484.
Se resuelve algebraicamente:
El número pedido es de tres cifras y capicúa, es decir de la forma xyx
donde, como la cifra de las decenas es la suma de la cifra de las centenas más la de las unidades, y=x+x.
Además el número es:
xyx=100x+10x+y
y si cambiamos las unidades por las decenas y viceversa obtenemos:
xxy=100x+10y+x
y como xxy es un número 36 veces menor que el número xyx:
(100x+10x+y)+36=(100x+10y+x)
Por lo tanto, solo nos queda resolver el sistema:
y=2x
(100x+10x+y)+36=100x+10y+x
que se puede hacer de manera muy fácil por sustitución obteniendo la solución de x=4 e y=8.