con el método de reducción , igualación y sustitución . me han pedido sacar de esos números una función osea se un graficjo . pero no se como se hace ejemplo : 2x +8y = 10 . bueno pues hay que poner eso números en una grafica para ver que el resultado de la igualación , sustitución sean ciertas o las hayas hecho bien
Hola Verdadero o Falso? Justificar. No se como encontrar un contraejemplo, o probarlo para que sea verdadero

Me encantaría ayudarte, pero no respondo dudas universitarias que no tengan que ver específicamente con los videos que ya he grabado como excepcion. O de otras asignaturas que no sean matemáticas, física y química. Lo siento de corazón… Espero lo entiendas
Ojalá algun unicoo universitario se anime a ayudarte (de hecho lo ideal es que todos los universitarios intentarais ayudaros los unos a los otros)

Si, es que me sobro una x pero el resultado sin esa x está bien, solo que para llevarlo a la gráfica que ya tengo hecha, necesitaba saber porque la gráfica esta comprendida entre los valores de -1 y 1,
entonces, esque para hacer la gráfica, hay que seguir operando, ¿El resto de la operación está bien hecha?

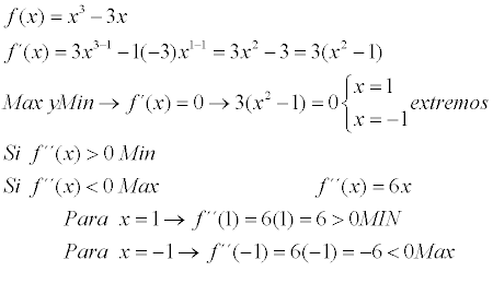
Para sacar f¨(x) = 6
podría decir:
Sustituyendo en x^3 -3 para x = (-1) y para x= 1
resulta:
(-1)^3 -3·(-1) = 2
1^3 - 3·1 = - 2
Entonces:
Luego a la derivada 3x^3 -3 sustituyo x por x= -2 y x=2 y para x= 0
Para cada x=2 y -2 resulta 9 y para x=0 resulta -3
entonces para decir f¨(x) = 6 tendría que restar 9 -3 = 6
Pero me gustaría poder ver ese paso correctamente.
si puede ser.
gracias
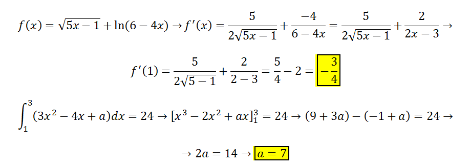
en el libro tengo la derivada de esta función expresada así
Luego en los vídeos he hecho junto a David, las mismas funciones pero además multiplicando por la derivada.
No. Es asi. O sea cuando adentro de la raíz tenes x y nada mas que x esta perfecto hacer eso. Ahora si tenes una función adentro de la raíz, tenes que hacer ese paso y luego derivar lo que está adentro de la raíz.
Pongo un par de ejemplos para que te des cuenta de lo que estoy diciendo:
√x= 1/(2√x) -----------> En este caso como hay x, no hago más que aplicar la formula
√x3 = 1/(2√x3) * 3x2 = 3x2 /(2√x3) ---------> En este caso, aplico la formula tal como está, y luego como tengo una función dentro de la raíz (x3), multiplico por la derivada de esa función, que en este caso es (3x2)
Espero haberte ayudado, cualquier cosa preguntá de vuelta.
Tengo este problema de optimizacion
Queremos construir una caja cuya longitud sea tres veces su anchura. El material usado para construir la tapa y la base cuesta 10 euros por pie cuadrado y el el material usado para construir los lados cuesta 6 euros por pie cuadrado. Si la caja tiene que tener un volumen de 50 pies cubicos, determina las dimensiones que que minimizan el coste de construir la caja.