Foro de preguntas y respuestas de Matemáticas

logo beUnicoos
Los foros de unicoos se han unificado en nuestra nueva plataforma beUnicoos. Para dejar nuevas preguntas deberás hacerlo allí, donde además podrás encontrar nuevas asignaturas y herramientas para ayudarte más con tus estudios.

  • icon

    Sumi
    el 23/2/17

    Buenas, me podrían ayudar con el ejercicio 75? Muchas gracias

    replythumb_up0 voto/sflag
    icon

    Antonius Benedictus
    el 23/2/17


    thumb_up1 voto/sflag
    icon

    César
    el 23/2/17


    thumb_up1 voto/sflag
    icon

    Sumi
    el 25/2/17

    Muchass gracias a los dos! 😊

    thumb_up0 voto/sflag
  • icon

    Manuel Rodríguez Castilla
    el 23/2/17

    He observado como en un problema de la parte de "plantear ecuaciones MEZCLAS" que comienza diciendo que "un comerciante tiene dos clases de aceite....." existe un error de cálculo al multiplicar 60x7,2 porque este producto es igual a 432 y no a 435 que es el resultado que se da en la solución del supuesto. Esta cifra tiene mucha importancia porque al restarle 420 la diferencia es de 12. Luego, al dividir 12/1,2= 10 litros, que es la solución con respecto a la cantidad de aceite del primer recipiente. Siendo esto así, la capacidad del segundo recipieste debe de ser de 50 litros. O sea, la solución debe de ser 10 litros y 50 litros y no 12,5 y 47,5 litros respectivamente.

    Muchas gracias y enhorabuena por las enseñanzas de este maravilloso curso.

    Manuel.


    replythumb_up0 voto/sflag
    icon

    David
    el 26/2/17

    Lo aclaro en el apartado de errores de ese video...
    Un abrazo!

    thumb_up0 voto/sflag
  • icon

    Rocio
    el 23/2/17

    Ayuda. Como se resuelve?

    replythumb_up0 voto/sflag
    icon

    Antonius Benedictus
    el 23/2/17


    thumb_up1 voto/sflag
    icon

    Rocio
    el 24/2/17

    Me podrías explicar paso a paso..luego de la segunda parte. 


    thumb_up0 voto/sflag
  • icon

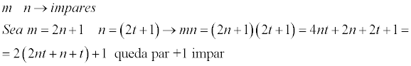
    Matemáticas
    el 23/2/17

    Prueba que, si m y n son números enteros, entonces

    Si son impares, mn es impar.


    replythumb_up0 voto/sflag
    icon

    César
    el 23/2/17


    thumb_up0 voto/sflag
  • icon

    Marga falagan
    el 23/2/17

    Buenas tardes, me encanta lo que hace David 

    Mi hija tiene 15 años y está encantada con la ayuda, pero tenemos un problema.Ella es invidente y en clase su profe de mates habla cada cosa que explica en la pizarra para que ella lo entienda y le va genial.

    Mi pregunta es si David prodria hacer lo mismo para cantidad de chicos ciegos que van a institutos con chicos de visión normal? Les ayudaría mucho y las mamis se lo agradeceríamos

    Un saludo y espero respuesta

    Gracias por este canal 

    replythumb_up0 voto/sflag
    icon

    David
    el 26/2/17

    Marga, haré todo lo posible en próximos videos... Te lo prometo..

    thumb_up0 voto/sflag
  • icon

    Marest
    el 23/2/17

    HOLA SOY MAREST, ACABO DE ENVIAR DOS PROBLEMAS Y NO SÉ SI HAN QUEDADO GRABADOS PARA QUE ME AYUDÉIS, UNO SOBRE CROMOS DE MONTSE Y ROCÍO Y OTRO SOBRE UN HOMBRE QUE RECORRE EN 4 DÍAS 120 KM.

    Me podríais confirmar si se ha grabado?

    replythumb_up0 voto/sflag
    icon

    César
    el 23/2/17
    flag

    No consigo encontralos Marest, los mandas de nuevo??


    thumb_up1 voto/sflag
  • icon

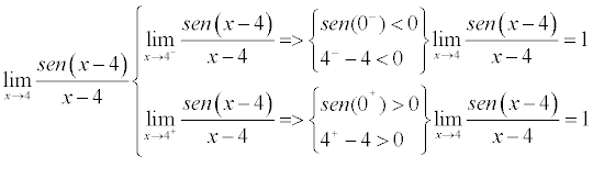
    alejandro
    el 23/2/17

    alguien me puede ayudar a entender por que el limite cuando x tiende a 4por la derecha de sin(X-4)/(X-4) vale 1 en vez de ser indeterminacion K/0



    replythumb_up0 voto/sflag
    icon

    César
    el 23/2/17


    thumb_up0 voto/sflag
  • icon

    Jonathan Yañez
    el 23/2/17

    -----------------  Trigonometria ----------------

    Resolver la siguiente ecuacion

    1 - 2sen^2(x/2)  =  √(1 - sen^2x)

    -- Mi resolucion --

    1 - 2sen^2(x/2)  =  √(1 - sen^2x)

    (1 - 2sen^2(x/2))^2 = 1 - sen^2x

    1-4sen^2(x/2)+4sen^4(x/2)=1-sen^2x

    -4sen^2(x/2)+4sen^4(x/2)=-sen^2x----->todos los pasos que intente a partir de este paso me llevan a errores



    replythumb_up0 voto/sflag
    icon

    César
    el 23/2/17


    thumb_up1 voto/sflag
    icon

    Jonathan Yañez
    el 23/2/17

    Gracias César!!!

    thumb_up0 voto/sflag
  • icon

    Javier Peréz Navarrete
    el 23/2/17

    alguien puede resolverme una duda de tecnología , no hay foro de tecnología y necesito resolver esta duda

    replythumb_up0 voto/sflag
    icon

    César
    el 23/2/17

    Ponla y veremos ok?


    thumb_up0 voto/sflag
  • icon

    Maria
    el 23/2/17

    Hola, no encuentro los problemas resueltos. Me he he he de un plan de 6 meses. Alguien me puede decir dónde están. Gracias


    replythumb_up0 voto/sflag
    icon

    César
    el 23/2/17

    Debajo de tu perfil en la solapa TEST,  creo

    thumb_up0 voto/sflag