Foro de preguntas y respuestas de Matemáticas

logo beUnicoos
Los foros de unicoos se han unificado en nuestra nueva plataforma beUnicoos. Para dejar nuevas preguntas deberás hacerlo allí, donde además podrás encontrar nuevas asignaturas y herramientas para ayudarte más con tus estudios.

  • icon

    Dipika Holos
    el 22/2/17

     se como se hacen áreas, peroa la hora de representar primero la grafica, no podemos utilizar tabla de valores sino que me piden que se haga con puntos de corte (incluido con las otras rectas), curvatura, etc.., y con esta función no se. 

    gracias

    replythumb_up0 voto/sflag
    icon

    Gabriel
    el 23/2/17

    Hola Dipika

    Lo que puedes hacer es calcular los puntos de intersección y luego tanteas cómo va la gráfica para saber qué función se resta de la otra función.

    Espero haberme expresado con claridad. Saludos.


    thumb_up1 voto/sflag
    icon

    Gabriel
    el 24/2/17

    Una vez intentado puedes comprobarlo en esta página web.

    http://fooplot.com/?lang=es#W3sidHlwZSI6MCwiZXEiOiJ4XjIqZV54IiwiY29sb3IiOiIjMDAwMDAwIn0seyJ0eXBlIjoxMDAwfV0-

    Introduces x^2*e^x, y compruebas si te da lo mismo.

    Saludos.

    thumb_up1 voto/sflag
  • icon

    Santi Mañas
    el 22/2/17

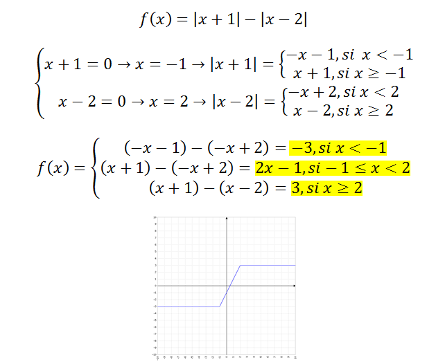
     |x+1|-|x-2| ¿cómo puedo representar esta función?,gracias .

    replythumb_up0 voto/sflag
    icon

    Antonius Benedictus
    el 23/2/17


    thumb_up0 voto/sflag
  • icon

    Amin zine
    el 22/2/17

    Hola a todos, tengo una pregunta, y es la siguiente : durante el estudio de una función cuando puedo afirmar que no hay asíntota oblicua, sin llegar a calcular m y n (y= mx +n). Gracias de antemano,saludos !

    replythumb_up0 voto/sflag
    icon

    Jesús
    el 22/2/17

    Hola,para poder afirmar que no hay asintotas oblicuas tiene que haber asintotas horizontales.

    Es decir que si hay asintotas horizontales no hay oblicuas y si no hay horizontales, puede haber o no asintotas oblicuas

    thumb_up0 voto/sflag
    icon

    Jesús
    el 22/2/17

    Te mando un enlace de unha web donde esta mejor explicado que delo que te explique yo, mira:

    http://www.vadenumeros.es/primero/asintotas-verticales.htm

    thumb_up0 voto/sflag
    icon

    Amin zine
    el 22/2/17

    Gracias, pero si sabes que no tiene asíntota horizontal,  no queda otra que calcular m y n para ver si tiene oblicua o no. 

    O sea un caso en que la función no tenga ni oblicua ni horizontal. 

    thumb_up0 voto/sflag
    icon

    Jesús
    el 23/2/17

    Si, así es.


    thumb_up0 voto/sflag
  • icon

    Paula
    el 22/2/17

    Ayuda con este ejercicio Antonio Benito. Gracias de antemano. Por cierto, del tramo C al D, el punto es -4 en el eje y - por si no se ve bien-




    replythumb_up0 voto/sflag
    icon

    Gabriel
    el 23/2/17

    Hola Paula.

    Calculo primero lo puntos de cada vértice.

    A (0,5), B(4,0), C(2,-4), D(-2,-1), E(-5,0), y ahora calcular las rectas...

    Saludos.


    thumb_up0 voto/sflag
  • icon

    Dipika Holos
    el 22/2/17

     se como se hacen áreas, peroa la hora de representar primero la grafica, no podemos utilizar tabla de valores sino que me piden que se haga con puntos de corte (incluido con las otras rectas), curvatura, etc.., y con esta función no se.

    gracias

    replythumb_up0 voto/sflag
    icon

    David
    el 26/2/17

     ¿y=x²???  Te sugiero.. 

    Representacion funcion cuadratica

    thumb_up1 voto/sflag
  • icon

    Dipika Holos
    el 22/2/17

     integral de esto? (NO es directa)

    replythumb_up0 voto/sflag
    icon

    Antonius Benedictus
    el 22/2/17

    No tienes más remedio que desarrollar la potencia cuarta y después integrar el polinomio de octavo grado que resulta.

    thumb_up2 voto/sflag
  • icon

    JUAN AMPIE
    el 22/2/17
    flag

    Hola el tema que estamos viendo es vectores y el espacio tridimencional

    Me dieron  estos puntos (3,4,0) ---->Estos solo son los punto el vector lo busco con esos datos

    El problema es que a la hora de graficar no me sale ninguna figura que hago

    replythumb_up0 voto/sflag
    icon

    David
    el 26/2/17

    Lo siento pero tu duda no tiene sentido alguno.
    Dices que te dan puntos y solo aportas (3,4,0)....

    thumb_up1 voto/sflag
    icon

    JUAN AMPIE
    el 26/2/17

    Se supone que esos puntos van en el eje X Y y Z respectivmente

    thumb_up0 voto/sflag
  • icon

    Jonathan Yañez
    el 22/2/17

    ---------------------------------------------  TRIGONOMETRIA  ---------------------------------------------

    1/2 sen(x) + √3/2 cos(x) =1
    sen(x+60)=1------------------------------->¿No se como llegar a este paso?

    x=30+360k

    replythumb_up0 voto/sflag
    icon

    Antonius Benedictus
    el 22/2/17


    thumb_up1 voto/sflag
  • icon

    Adnan
    el 22/2/17

    ¿como se hace con la "a" incluida en la función?


    replythumb_up0 voto/sflag
    icon

    Antonius Benedictus
    el 22/2/17


    thumb_up0 voto/sflag
  • icon

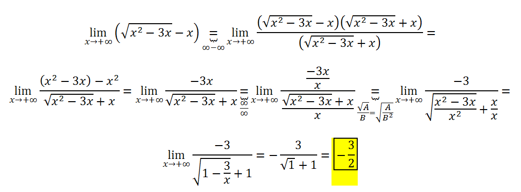
    andres
    el 22/2/17

    Buenas alguien que me pueda ayudar a calcular el limite de (√x²-3x -x) cuando tiende a más infinito. (el -x no entra en la raiz) muchas gracias!

    replythumb_up0 voto/sflag
    icon

    Antonius Benedictus
    el 22/2/17


    thumb_up0 voto/sflag