Foro de preguntas y respuestas de Matemáticas

logo beUnicoos
Los foros de unicoos se han unificado en nuestra nueva plataforma beUnicoos. Para dejar nuevas preguntas deberás hacerlo allí, donde además podrás encontrar nuevas asignaturas y herramientas para ayudarte más con tus estudios.

  • icon

    Manu
    el 20/2/17

    Buenos días.

    Algun unicoos puede decirme si va bien encaminado, por que no me imagino la última gráfica en dos lados.


    replythumb_up0 voto/sflag
    icon

    Antonius Benedictus
    el 20/2/17

    La última:


    thumb_up1 voto/sflag
    icon

    Manu
    el 20/2/17

    HE de tener algún fallo en mis notas de X e Y, por queen esta función para X= -1;Y=6,5 luego para X= -2;Y=17 luego para X=-3;Y=7

    es como si, la gráfica cuando tiende a inf, se separase del eje de ordenadas. O es que sería así pero no está definido en la gráfica?

    thumb_up0 voto/sflag
  • icon

    Berni Schulz
    el 20/2/17

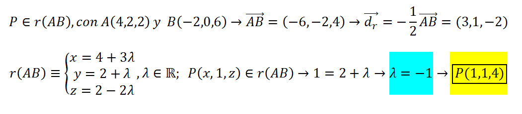
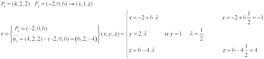
    Hola que tal unicoos!! Me podrían ayudar con este ejercicio de R3. Muchas gracias!!

    replythumb_up0 voto/sflag
    icon

    César
    el 20/2/17


    thumb_up0 voto/sflag
    icon

    Antonius Benedictus
    el 20/2/17


    thumb_up0 voto/sflag
  • icon

    Andres Montoro Menor
    el 20/2/17

    Podría decir como calculo donde se cortan estos dos planos? E asignado parámetros a Z pero no se ahora que hacer.

    replythumb_up0 voto/sflag
    icon

    César
    el 20/2/17


    thumb_up0 voto/sflag
    icon

    Andres Montoro Menor
    el 21/2/17

    Por que se multiplica por 4 la segunda equacion? 

    thumb_up0 voto/sflag
  • icon

    Gabriel Zelai
    el 20/2/17

    Hola, buenas tardes. 

    ¿Cómo se resolvería esto? Lo he hecho cinco veces pero me dan resultados raros y no creo que estén bien, la verdad. 



    Dado el vector u(1,2); calcula:


    v (x,y) sabiendo 

    -  u.v = -2 

    - |v| = 5



    Gracias de antemano. 

    replythumb_up0 voto/sflag
    icon

    Antonius Benedictus
    el 20/2/17


    thumb_up1 voto/sflag
    icon

    Gabriel Zelai
    el 20/2/17

    ¡Muchas gracias! 

    thumb_up0 voto/sflag
  • icon

    Javier
    el 20/2/17

    Alguien me podría ayudar con este problema de trigonométria???

    replythumb_up0 voto/sflag
    icon

    Antonius Benedictus
    el 20/2/17


    thumb_up1 voto/sflag
  • icon

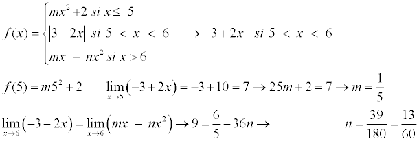
    Jesus Diaz Castro
    el 20/2/17

    Hola buenas, tengo una duda sobre funciones:


    f(x)=

    • mx2 +2 si x ≤ 5
    • |3-2x| si 5 < x < 6
    • mx - nx2 si x>6

    Me preguntan por la continuidad de esta, lo que me desconcierta un poco es el valor absoluto, después supongo que es como cualquier otra función ¿solo que tendría que operar a m y a n para despejarlas?

    Gracias de antemano

    replythumb_up0 voto/sflag
    icon

    César
    el 20/2/17


    thumb_up1 voto/sflag
  • icon

    ViRR
    el 20/2/17

    Buenas tardes, no sé cómo hacer el siguiente ejercicio:

    Halla los puntos de la recta r: y = -x+6 que equidistan de las rectas s: 3x-y = 1 y t: 3x+y = 5.

    ¡Muchas gracias!

    replythumb_up0 voto/sflag
    icon

    César
    el 20/2/17

    Distancia de un punto a una recta en R²

    elige un punto de la recta r

    calcula la distancia a la recta s  y t  y estas deben ser iguales

    Solucion (1,5)


    thumb_up0 voto/sflag
  • icon

    juan manuel diaz
    el 20/2/17

    unicoos, tengo una consulta, cual es la intregal de 1/x^2-1?

    replythumb_up0 voto/sflag
    icon

    César
    el 20/2/17


    thumb_up1 voto/sflag
  • icon

    Jonathan Yañez
    el 20/2/17

      ------------------------  TRIGONOMETRIA  ------------------------

    RESOLVER LA SIGUIENTE ECUACIÓN.
    ecuación

    replythumb_up0 voto/sflag
    icon

    Antonius Benedictus
    el 20/2/17


    thumb_up1 voto/sflag
    icon

    Jonathan Yañez
    el 20/2/17

    Gracias!!!

    thumb_up0 voto/sflag
  • icon

    antonella
    el 20/2/17

    hola unicoos me pueden ayudar?? como encuentro la inversa de ésta función??

    y= Ln (x+1)

    x= Ln (y+1)

    Ln x = Ln (y+1)

    Ln x = y + 1

    Ln x - 1 = y

    hice eso y no me funciono

    replythumb_up0 voto/sflag
    icon

    Ángel
    el 20/2/17

    Creo que tu función original es:

      f(x)  = Ln (x+1)

    y queda así:

    1. Cambiamos f(x) por y.

         y   = Ln(x+1)

    2. Despejamos la x en función de y

    Ln e= Ln(x+1)

         e=   x+1

     ey-1 = x

    3.Intercambiamos las variables.


    f-1(x)= ex-1

    thumb_up0 voto/sflag