Foro de preguntas y respuestas de Matemáticas

logo beUnicoos
Los foros de unicoos se han unificado en nuestra nueva plataforma beUnicoos. Para dejar nuevas preguntas deberás hacerlo allí, donde además podrás encontrar nuevas asignaturas y herramientas para ayudarte más con tus estudios.

  • icon

    Pilar
    el 20/2/17

    No entiendo este ejercicio. Como me puedo inventar otra ecuación que sepa yo que de esos sistemas ? 

    replythumb_up0 voto/sflag
    icon

    Antonius Benedictus
    el 20/2/17


    thumb_up0 voto/sflag
  • icon

    Dipika Holos
    el 20/2/17

     caso B porfa, integrales con areas

    replythumb_up0 voto/sflag
    icon

    Antonius Benedictus
    el 20/2/17


    thumb_up1 voto/sflag
  • icon

    Paula
    el 20/2/17

    Ayuda con este ejercicio Antonio Benito. ¡Paso a paso, por favor! Gracias de antemano.


    replythumb_up0 voto/sflag
    icon

    Antonius Benedictus
    el 20/2/17

    No entiendo lo que pone. Foto original del enunciado.

    thumb_up0 voto/sflag
    icon

    Ángel
    el 21/2/17

    Antonio, creo que el enunciado es: "Calcula las ecuaciones de las rectas que contienen estos segmentos"


    Paula, te falta confirmar que las coordenadas son:

    A(1,5)

    B(4,0)

    C(2,-4)

    D(-2,-4)

    E(-4,0)

    F(-1,5)

    porque en el dibujo no se aprecia bien 


    thumb_up0 voto/sflag
    icon

    Paula
    el 21/2/17

    En efecto, Maths. Las coordenadas están todas bien menos la E, que sería (-5, 0). Gracias de antemano. Un saludo.

    thumb_up0 voto/sflag
  • icon

    Matemáticas
    el 20/2/17

    Si m divide n y n divide p, podemos garantir que m divide p?


    replythumb_up0 voto/sflag
    icon

    Seth Villanueva Diaz
    el 20/2/17

    Saludos! 

    thumb_up0 voto/sflag
    icon

    Antonius Benedictus
    el 20/2/17

    Sí. La relación "divide a" es transitiva.

    m=xn

    n=yp

    Entonces: m=x(yp)=(xy)p

    thumb_up0 voto/sflag
  • icon

    Dipika Holos
    el 20/2/17

      de dponde salio el x-1 ? osea que ormula se uso en Y= 1(x-1)

    replythumb_up0 voto/sflag
    icon

    César
    el 20/2/17

    Sale de calcular la recta paralela a y=x que pasa por (0,1)

    y-y0=m(x-x0)     (x0,y0)= (0,1),m=1   y-0=1(x-1) 

    thumb_up1 voto/sflag
  • icon

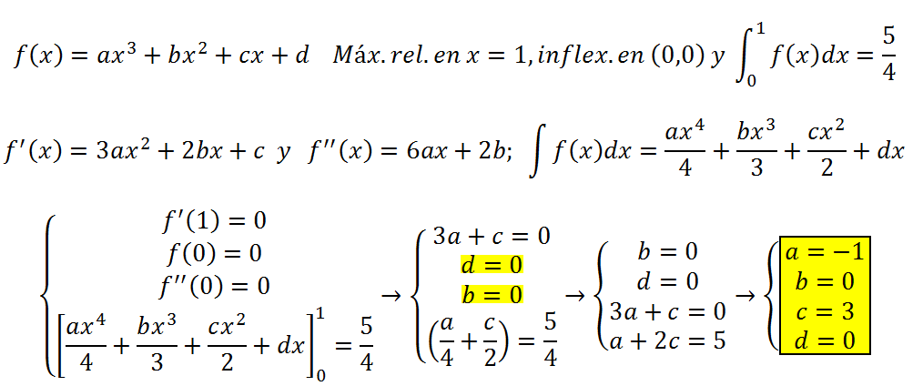
    Lili
    el 20/2/17

    Hola, por favor necesito ayuda con esta integral...

    De la función f: R -> R la función definida por f(x)= ax³+bx²+cx+d se sabe que tiene un máximo relativo en x=1, un punto de inflexión en (0,0) y que ∫01f(x)dx= 5/4

    Me piden que calcule a,b,c,d. Llevo desde ayer intentando hacerla pero no hay forma, si pudierais ayudarme... GRACIAS!

    replythumb_up0 voto/sflag
    icon

    Antonius Benedictus
    el 20/2/17


    thumb_up1 voto/sflag
  • icon

    Dipika Holos
    el 20/2/17

     caso B por favor, son integrales areas

    replythumb_up0 voto/sflag
  • icon

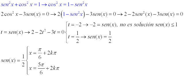
    Alex
    el 20/2/17

    ¡Hola! ¿Me pueden ayudar a seguir con esta ecuación trigonométrica? Hasta ahí creo ir bien, sino es así me gustaría que me rectificasen. 

    Gracias.


    replythumb_up0 voto/sflag
    icon

    Antonius Benedictus
    el 20/2/17


    thumb_up1 voto/sflag
    icon

    César
    el 20/2/17


    thumb_up1 voto/sflag
    icon

    Alex
    el 20/2/17

    Muchas gracias, entendido.

    thumb_up0 voto/sflag
  • icon

    ALOFRE
    el 20/2/17

    Hola, alguien podría decirme la definición de cuadrado de un número complejo? Gracias!

    replythumb_up0 voto/sflag
    icon

    Antonius Benedictus
    el 20/2/17


    thumb_up1 voto/sflag
  • icon

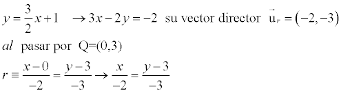
    Cristina Manteca Donado
    el 20/2/17

    Considera la ecuación y=3/2x+1

    Calcula  la ecuación en forma continua de una recta paralela que pase por el punto de Q(0,3)

    Ayuda,gracias.

    replythumb_up0 voto/sflag
    icon

    Antonius Benedictus
    el 20/2/17


    thumb_up0 voto/sflag
    icon

    César
    el 20/2/17


    thumb_up0 voto/sflag