


Llamamos x a la longitud del lado paralelo al muro, y llamamos y a la longitud de los lados perpendiculares al muro.
Luego, a partir del enunciado, tenemos:
x + 2y = 1200, hacemos pasaje de término y queda: x = 1200 - 2y (1).
Luego, planteamos la expresión de la superficie del rectángulo:
S = x*y, sustituimos la expresión señalada (1) y queda:
S = (1200 - 2y*y, distribuimos y queda la expresión de la superficie como función de la longitud de un lado perpendicular al muro:
S = 1200y - 2y2 (2).
Luego, planteamos la expresión de la función derivada:
S ' = 1200 - 4y,
luego planteamos la condición de punto crítico (posible máximo o posible mínimo):
S ' = 0, sustituimos y queda:
1200 - 4y = 0, hacemos pasaje de término y queda:
- 4y = - 1200, hacemos pasaje de factor como divisor y queda:
y = 300 (en m).
Luego reemplazamos en la ecuación señalada (1) y queda:
x = 1200 - 2*300 = 600 (en m).
Luego pasamos al cálculo de la superficie del rectángulo:
S = 600*300 = 180000 (en m2).
Podemos verificar que hemos determinado las dimensiones del rectángulo de superficie máxima si evaluamos la expresión señalada (2) para los valores de y: 299, 300 y 301:
S(299) = 1200*299 - 2*2992 = 179998,
S(300) = 1200*300 - 2*3002= 180000,
S(301) = 1200*301 - 2*3012 = 179998.
Espero haberte ayudado.


Vamos con una orientación.
Observa que la utilidad total (U) es la suma de la utilidad obtenida al vender el producto x (Ux) más la utilidad obtenida al vender el producto y (Uy).
Luego, planteamos:
Ux = 2000x,
Uy = 1000y = sustituimos la expresión del enunciado =1000*(24 - 6x)/(5 - x);
luego plateamos la expresión de la utilidad total como función de la masa de producto A que se vende (observa que el dominio es: D = [0,5) según el enunciado):
U = 2000x + 1000*(24 - 6x)/(5 - x).
Luego, queda que continúes la tarea (recuerda que debes plantear la expresión de la función derivada primera, igualar a cero para despejar el punto crítico, y luego evaluar en la expresión de la función).
Haz el intento, y si te es preciso no dudes en volver a consultar.
Espero haberte ayudado.
Dar respuestas razonadas,claras y concisas a las siguientes preguntas:
a) Un sistema de 2 ecuaciones lineales con 3 incognitas ,¿Puede ser incompatible?
b) Un sistema de 2 ecuaciones con 3 incognitas ,¿Puede ser compatible determinado?¿Puede ser incompatible?
c) Un sistema de 2 ecuaciones con 4 incognitas ¿Puede ser incompatible? Ejemplificar
d) Un sistema de 3 ecuaciones lineales con 2 incognitas ¿Puede ser compatible determinado? Ejemplificar.

a) Un sistema de 2 ecuaciones lineales con 3 incognitas ,¿Puede ser incompatible? No.
b) Un sistema de 2 ecuaciones con 3 incognitas ,¿Puede ser compatible determinado?¿Puede ser incompatible? No puede ser determinado, pero si indeterminado
c) Un sistema de 2 ecuaciones con 4 incognitas ¿Puede ser incompatible? Ejemplificar Sí
x+y+z+t=0
x+y+z+t=1
Es imposible que se cumplan las dos a la vez..
d) Un sistema de 3 ecuaciones lineales con 2 incognitas ¿Puede ser compatible determinado? Ejemplificar. Sí..
asumiendo por ejemplo que x=0 e y=3, elige tres ecuaciones que lo cumplan.
Por ejemplo.. x+y=3...... 2x-y=-3... 2x+2y=6.. La ultima, es la primera ecuacion multiplicada por 2...
Resolver y comprobar que es compatible indeterminado: (TEMA MATRICES) 2X-4Y=6
-X+2Y=-3
Ademas: formar 3 sistemas considerando las siguientes consignas:
a) Agregar una ecuacion de modo que el sistema de 3x2 sea compatible determinado
b)Agregar una tercera ecuacion de modo que el sistema de 3x2 sea indeterminado.
c)Agregar una tercera ecuacion de modo que sea incompatible.

El sistema inicialmente, si intentas resolverlo es compatible indeterminado pues la primera ecuacion es proporcional a la segunda (si intentas resolverlo te queda 0x+0y=0)
a) Cualquier ecuacion que no sea combinacion lineal de las dos anteriores y aporte una solucion. Por ejemplo si y=0, x=3.. Si eliges una ecuacion que sea cierta para esos valores, lo tienes.. Por ejemplo, x+y=3
b) Cualquiera que surga de la combinacion lineal de las dos primeras.. Por ejemplo, si las sumas.. x-2y=3
c) Cualquier ecuacion que no sea combinacion lineal de las dos anteriores y no aporte una solucion. Por ejemplo si y=0, x=3.. Si eliges una ecuacion que no sea cierta para esos valores, lo tienes.. Por ejemplo, x+y=2
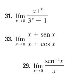
Hola buena noches. Como van? Me podrian ayudar con los siguientes limites aplicando la regla de L Hopital. Muchas gracias.