hola el 3 alguno me da un mano intente hacerlo pero me dan mal lo resultados:( desde ya graciass![]()

Echale un vistazo.. Estadistica 02
A partir de ahí, se trata de que DESPUES DE IR A CLASE (ver los vídeos
relacionados con vuestras dudas) enviéis dudas concretas, muy concretas. Y que
nos enviéis también todo aquello que hayais conseguido hacer por vosotros
mismos. Paso a paso, esté bien o mal. No solo el enunciado. De esa manera
podremos saber vuestro nivel, en que podemos ayudaros, cuales son vuestros
fallos.... Y el trabajo duro será el vuestro. Nos cuentas ¿ok? #nosvemosenclase
;-)
¿Es suficiente que la derivada segunda se anule en un punto para que en ese punto la curva cambie la concavidad?¿Puede ocurrir que la curva cambie la concavidad a izquierda y derecha de un punto,en el cual la segunda derivada no vale cero?
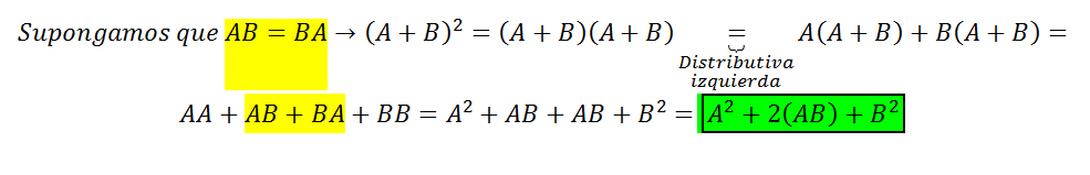
Demostrar que si A y B son matrices cuadras tales que AB=BA ,entonces (A+B)∧2= A∧2+ 2AB+B∧2
Buenas! Alguien tiene ejercicios de: Las condiciones necesarias y suficientes? Gracias