Foro de preguntas y respuestas de Matemáticas

logo beUnicoos
Los foros de unicoos se han unificado en nuestra nueva plataforma beUnicoos. Para dejar nuevas preguntas deberás hacerlo allí, donde además podrás encontrar nuevas asignaturas y herramientas para ayudarte más con tus estudios.

  • icon

    Dipika Holos
    el 14/2/17
    flag

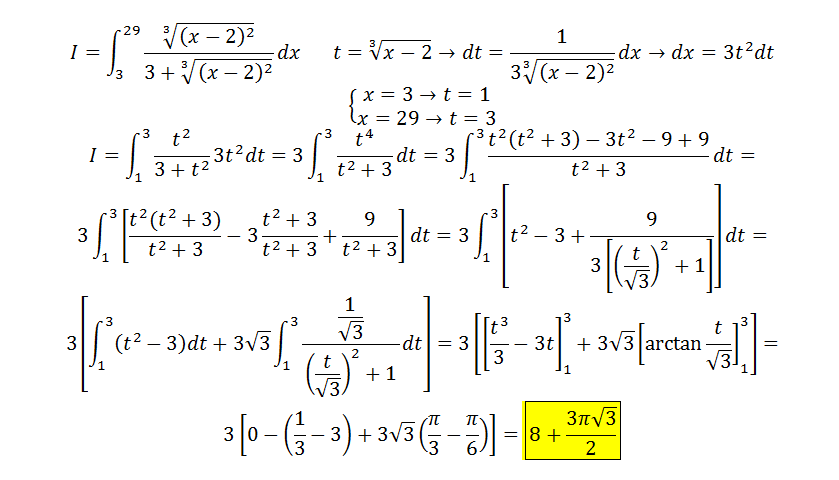
    hola, cómo haría esta integral, es decir, estas NO es de las inmediatas porque supuestamente, al tener valor absoluto, hay que analizarlo en plan donde es negativo, donde positivo etc... pero no se ni por donde empezarlo. muchas gracias

    replythumb_up0 voto/sflag
    icon

    Ángel
    el 15/2/17


    thumb_up1 voto/sflag
  • icon

    Víctor López
    el 14/2/17

    Buenas noches. Tengo dificultad a la hora de resolver límites en el infinito con radicales. Tengo dudas con el b) y el c). ¡Muchas gracias!

    replythumb_up0 voto/sflag
    icon

    Antonius Benedictus
    el 14/2/17


    thumb_up0 voto/sflag
  • icon

    Leandro
    el 14/2/17

    Necesito corroborar esta regla básica de potencias:

    -n2 = - n

    (-n)2= n


    replythumb_up0 voto/sflag
    icon

    Ángel
    el 14/2/17

    Revisa si este es el enunciado o la pregunta que quieres hacer...


    Si n=1 o n=0 o n=-1,

    es cierto que (-n)2= n

    en cualquier otro caso es falso 


    Si n=0 

    es cierto que -(n2)= n

    en cualquier otro caso es falso 

    thumb_up1 voto/sflag
  • icon

    Mel Alarcón
    el 14/2/17

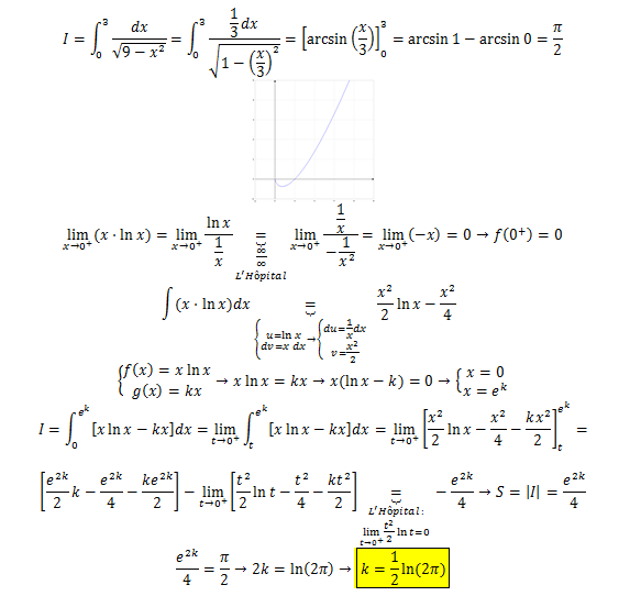
    necesito ayuda con este ejercicio, llegue hasta que la integral vale 1/2 pi y no se como continuarlo 


    replythumb_up0 voto/sflag
    icon

    Antonius Benedictus
    el 14/2/17


    thumb_up0 voto/sflag
  • icon

    Ronal Modesto
    el 14/2/17
    flag

     porfavor con esas 2 gracias

    replythumb_up0 voto/sflag
    icon

    Antonius Benedictus
    el 15/2/17


    thumb_up0 voto/sflag
  • icon

    Ronal Modesto
    el 14/2/17
    flagflag

    ayudenme con esta tambien porfavor 

    replythumb_up0 voto/sflag
    icon

    David
    el 19/2/17

    Lo siento pero no puedo ayudaros con Riemann, se sale de los contenidos preuniversitarios de los foros.. 

    thumb_up0 voto/sflag
  • icon

    Ronal Modesto
    el 14/2/17

    tambien con esta porfavor amigos 

    replythumb_up0 voto/sflag
    icon

    Antonius Benedictus
    el 14/2/17


    thumb_up0 voto/sflag
  • icon

    Ronal Modesto
    el 14/2/17

    ayuden con esta porfavor

    replythumb_up0 voto/sflag
    icon

    Antonius Benedictus
    el 14/2/17


    thumb_up0 voto/sflag
  • icon

    Marta
    el 14/2/17

    Porque de (8/3 + 2a + 2b) = 4

    en el siguiente paso hace 2a +2b= -8/3

    no sería 2a +2b= 4 - 8/3 ?

    osea que me quedaria 2a +2b = 4/3


    replythumb_up0 voto/sflag
    icon

    Ángel
    el 14/2/17

    Sí Marta, bien visto!

    thumb_up0 voto/sflag
  • icon

    Rubén
    el 14/2/17

    Hola unicoos podríais explicarme los pasos que se deben seguir para sacar esta derivada hasta llegar a la respuesta?


    replythumb_up0 voto/sflag
    icon

    Antonius Benedictus
    el 14/2/17

    Pon foto del enunciado original, por favor.

    thumb_up0 voto/sflag