Hola unicoos,
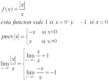
En la función f(x)= |x| / x ¿como determino su límite para x=0? es decir sé cómo se resuelven los límites y tal, pero lo que hoy ha explicado mi profesora sobre cómo transformar un función en valor absoluto a una definida a trozos, no se aplicarlo a esta.
Gracias
Resolver y clasificar el sistema:
1 0 4 7 10
0 1 -3 -4 -2
0 0 1 1 2
TENGO DUDAS CON LA CLASIFICACION DEL SISTEMA!

Disculpa,no te puse el enunciado completo.Dice,supongamos que la matriz ampliada del sistema de ecuaciones lineales se ha llevado mediante operaciones en las filas,a la forma escalonada.Resolver y clasificar el sistema. A mi me dio como resultado X=2-3w Y=4+w Z= 2-w. La clasificacion del mismo seria infinitas soluciones?