Hola buenos días, soy una madre de tres niños y a la pequeña de 5 años le van a introducir en el sistema ABN y quería saber su opinión. He estado leyendo sobre el tema y la verdad me parece un poco lioso...
Un saludo y gracias
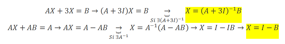
Hola, me pueden ayudar con este ejercicio de Algebra lineal. Lamentablemente lo pusieron en un examen y no logre resolverlo a tiempo. Agradeceria mucho si alguien me diera una pista de como plantearlo y resolverlo.
Att. Un Alumno
buenas noches tengo una duda sobre graficas de complejos como hago para saber si la expresion compleja contiene al polo indicado ![]()

Me encantaría ayudarte, pero no respondo dudas universitarias que no tengan que ver específicamente con los videos que ya he grabado como excepcion. O de otras asignaturas que no sean matemáticas, física y química. Lo siento de corazón… Espero lo entiendas
Ojalá algun unicoo universitario se anime a ayudarte (de hecho lo ideal es que todos los universitarios intentarais ayudaros los unos a los otros)
Soluciòn de esta inecuaciòn, por favor
x(x+2)>8(x+2) es equivalente a x>8

https://www.youtube.com/watch?v=CqcneRwCZi4
En tu caso los intervalos son (-∞,-2) (-2,8) (8,∞), dando positivos el primero y el ultimo, y el del medio negativo, como a vos te interesa que sea mayor a cero te quedas con (-∞,-2) U (8,∞).
Esto sirve siempre y cuando logres hacer que todo se este multiplicando y/o dividiendo de un lado y que del otro quede en 0. Asi lo unico que te interesa es si es negativo o positivo

https://kn3.net/6162FB6150CJPG.html
Espere pero la pagina no me esta dejando subir imagenes, espero que te sirva
Necesito ayuda con esto:
Aplicando definicion, determine la derivada de F(x)=cos(k.x) con k constante real
Nose como encararlo. O algun video o web donde muestren como se hace esto