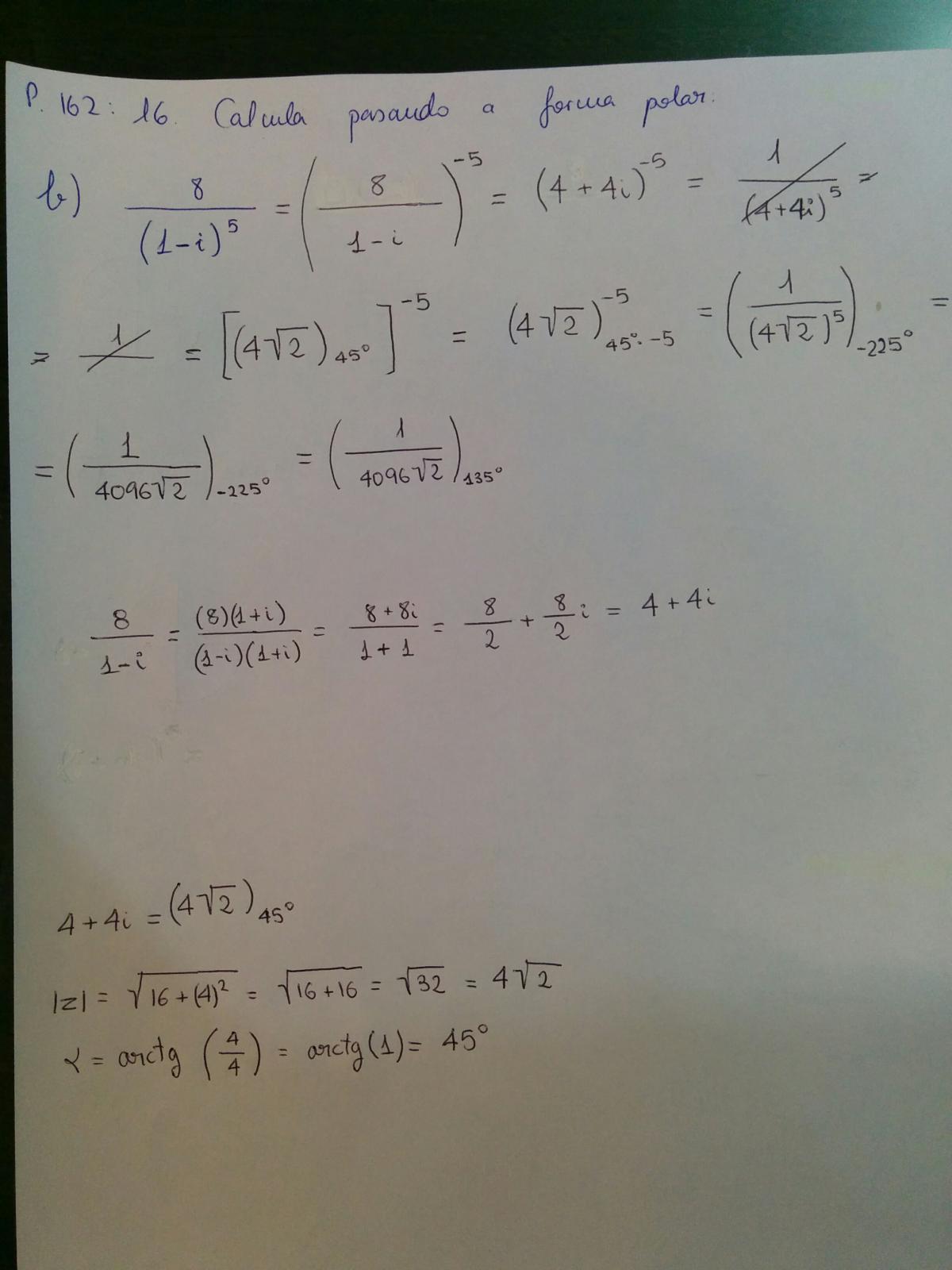
Hola Unicoos, me dice que calcule 8/(1-i)^5
¿me podrían ayudar paso a paso? Como lo hago?
Si paso a forma polar la fracción tiene que ser numerador y denominador a forma polar verdad? No se puede hacer solo el denominador?
Cosas como simplificar, sacar factor común, etc.. decirmelo,

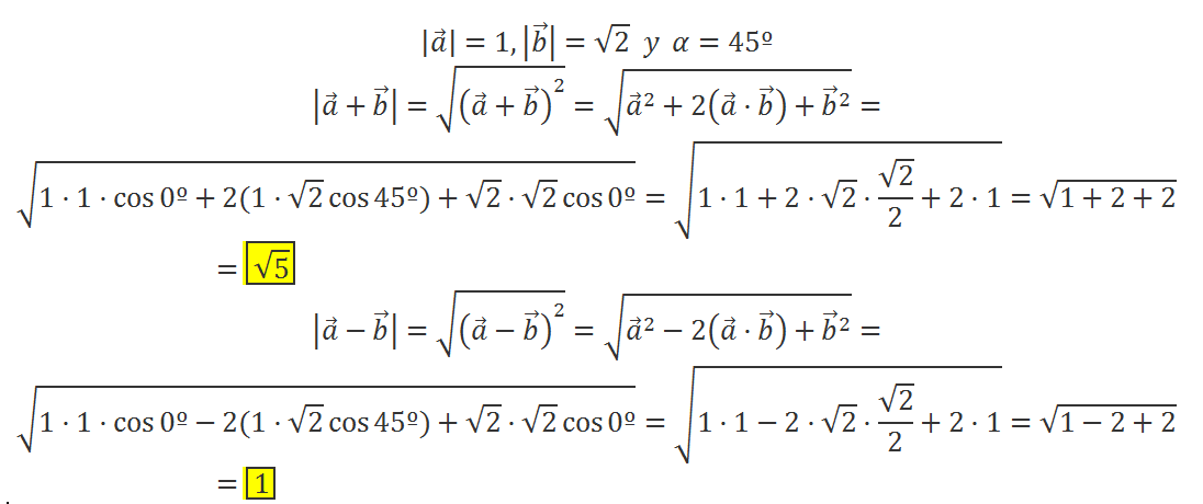
Solo tengo este. El profesor nos dijo que comprobáramos la desigualdad de Swartz pero lo que habíamos dado antes era la Desigualdad triangular. Así que quizá se equivocó. De todas formas si es la Desigualdad triangular lo comenté con mis compañeros y ya me ayudaron a hacerlo mediante esa desigualdad.