![]()
Según las alternativas la 1 es Falsa, por qué razón? a mi me dio que era verdadera
SAludos y gracias de antemano
Tienes que saber hartas propiedades, en un triángulo equilátero, si se traza una bisectriz también es transversal de gravedad. Te conviene aprenderte el triángulo "30 60 90"

Si no entiendes, como eres chilena, tengo un material que te puede servir de ese tema, para la psu yo creo jaja.
pd: Al racionalizar el 6/raíz de 3 por a te queda 2a por raíz de tres, por lo que es verdadera.
Ah y a lo mejor te confundiste con la respuesta con eso de cuál es falsa, suele pasar jaja.
Hola unicoos, tengo una duda con este problema, así vino y pues se trata de la segunda ley de Newton, tengo entendido que la fórmula es F=m•a, pues me están pidiendo fuerza, para la aceleración la fórmula es la velocidad entre el tiempo, la masa ya la tengo, pero no me da, el resultado que aparece ahí, además los valores de la velocidad se mide en m/s y ahí viene en kg/m, si algo estoy pasando por alto les agradecería muchísimo su ayuda... Gracias. Por favor alguien responda.![]()

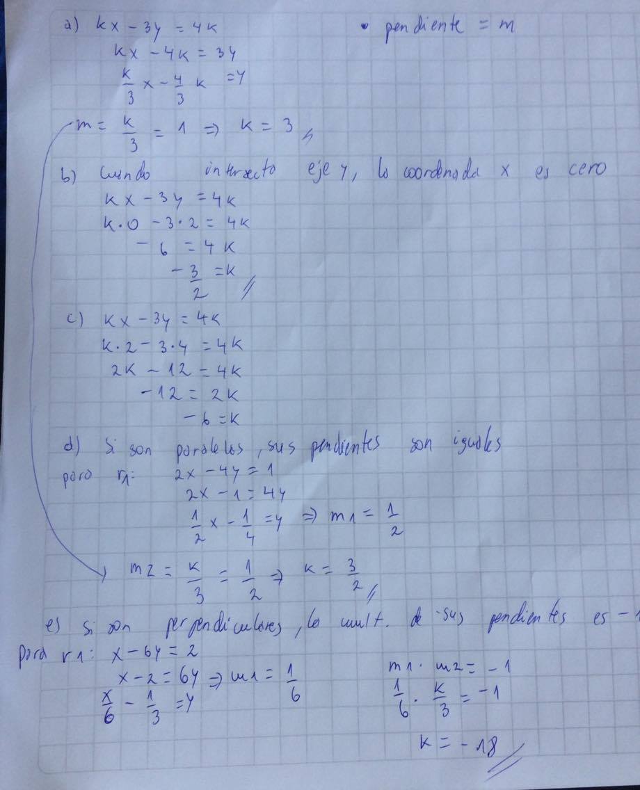
Echales un vistazo a todos los videos de esta leccon .. Funcion afin 01 (y=mx+n)
Y tambien a este video.. Ecuación canónica o segmentaria de la recta
A partir de ahí, se trata de que DESPUES DE IR A CLASE (ver los vídeos
relacionados con vuestras dudas) enviéis dudas concretas, muy concretas. Y que
nos enviéis también todo aquello que hayais conseguido hacer por vosotros
mismos. Paso a paso, esté bien o mal. No solo el enunciado. De esa manera
podremos saber vuestro nivel, en que podemos ayudaros, cuales son vuestros
fallos.... Y el trabajo duro será el vuestro. Nos cuentas ¿ok? #nosvemosenclase
;-)
buenas gente! tengo una consulta acerca de los videos no hay ninguno del tema "relaciones??? no encontre ninguno alguno sabe o como puedo hacer para pedir que hagan algun video sobre eso?? gracias

Voy a intentar explicártelo lo mejor que pueda. A ver, lo primero que tienes que hacer es sacar el mínimo común múltiplo, ya que solo se pueden sumar o restar fracciones con el mismo denominador. Eso es lo primero que he hecho en los denominadores y numeradores, (Supongo que sabes como sumar y restar fracciones normales, ¿No?). Luego ya puedes realizar las operaciones y en este caso tienes suerte de que todas las raíces del numerador se van, por lo que sin problema. Te mando foto explicando un poco los pasos.
Si hay algo que no entiendes no dudes en volver a preguntarme, dime dónde te pierdes :)
Una pregunta muy concreta!!, en este ejercicio: al calcular el rango para el apartado a), ¿cuál es la matriz M? Ya que normalmente M es la cuarta columna en un sistema, pero en este caso es una sola matriz y no hay cuarta fila. Gracias!!