
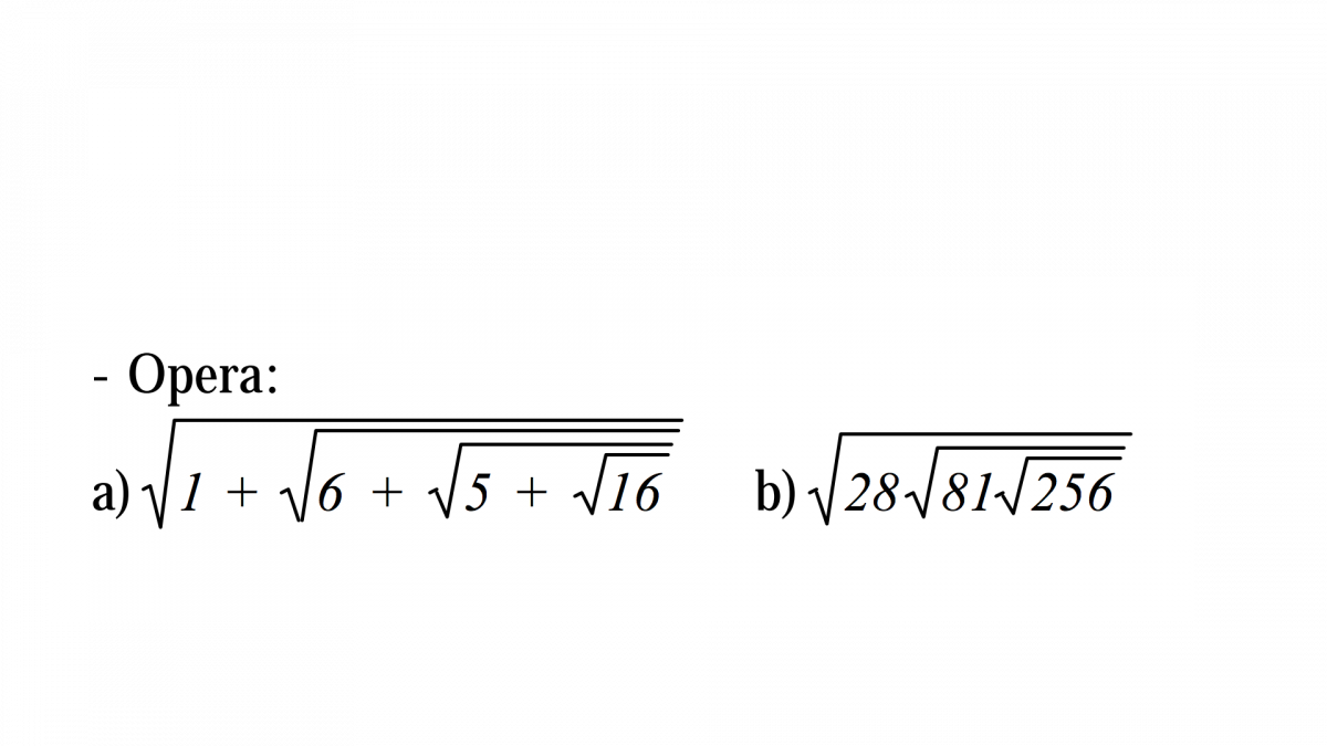
Opera desde dentro hacia afuera:
a) 4, 3, 3, 4 Y el resultado:2
b) 16, 81·16, 9·4, 7·4·9·4 Y el resultado: 12√7
Gentiii, me ayudan con este esta medio complicado pero muy bueno planteo el complejo con raiz pero no entiendo lo del plano y sus vertices con el poligono ![]()

Me encantaría ayudarte, pero no respondo dudas universitarias que no tengan que ver específicamente con los videos que ya he grabado como excepcion. O de otras asignaturas que no sean matemáticas, física y química. Lo siento de corazón… Espero lo entiendas
Ojalá algun unicoo universitario se anime a ayudarte (de hecho lo ideal es que todos los universitarios intentarais ayudaros los unos a los otros)

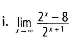
Observa el argumento:
(2x - 8)/2x+1 = distribuimos el denominador = 2x/2x+1 - 8/2x+1 = resolvemos el primer término:
= 2-1 - 8/2x+1.
Luego, pasamos al cálculo del límite (que inicialmente es indeterminado)
Lím(x→∞) (2x - 8)/2x+1 = sustituimos = Lím(x→∞) (2-1 - 8/2x+1) = resolvemos = 2-1- 0 = 1/2.
Espero haberte ayudado.