Hola unicoos ¿Podrías ayudarme a hacer la monotonía y extremos relativos de (x²+4)/x? En la segunda derivada me hago un lio.

Observa que el dominio de la función es: D = R - {0}, y que al distribuir el denominador en la expresión de la función y queda:
f(x) = x + 4/x,
cuya derivada queda expresada:
f ' (x) = 1 - 4/x2, que está definida en todo del dominio de la función,
luego, la expresión de la derivada segunda de la función queda:
f ' ' (x) = 8/x3, que está definida en todo el dominio de la función.
Intenta hacer la tarea, y si te es preciso no dudes en volver a consultar.
Espero haberte ayudado.
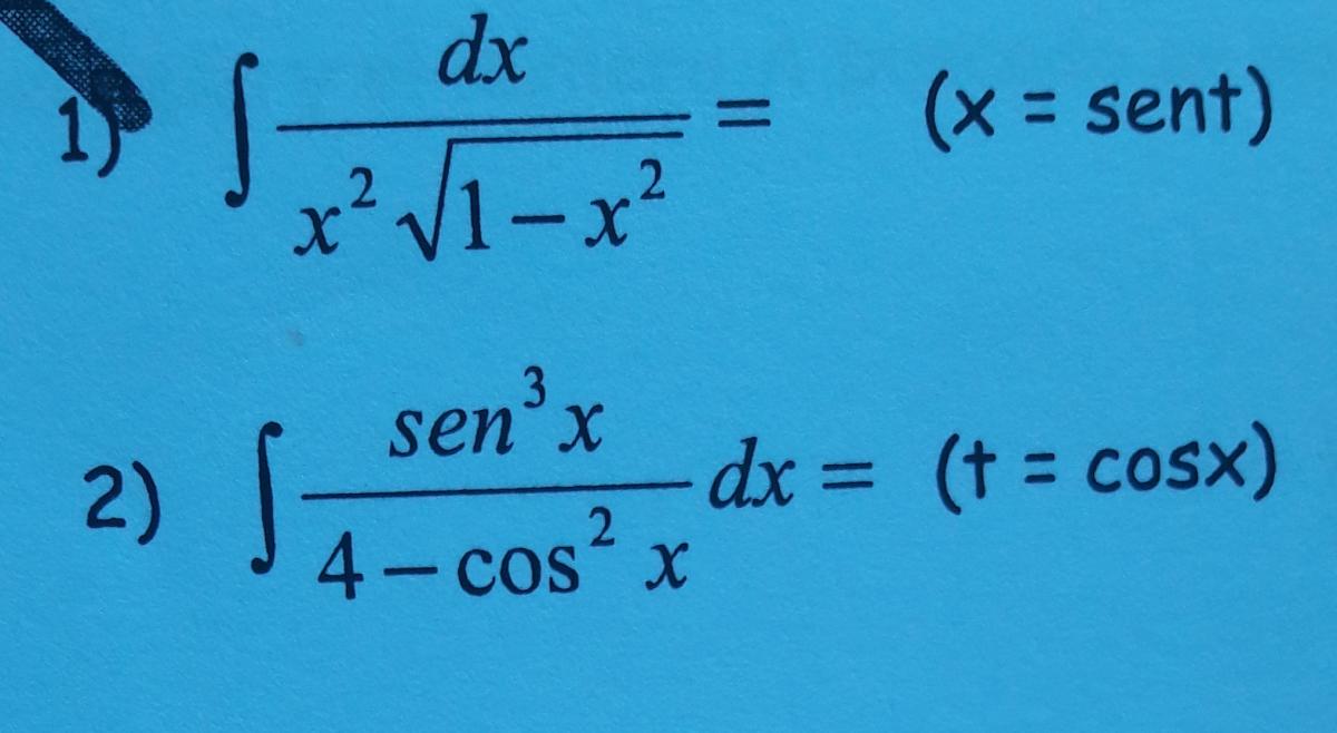
Hola unicoos, me podrías ayudar con estas integrales por cambio de variable? Me estoy haciendo un lío. Gracias!

Vamos con orientaciones.
1)
Tienes el cambio de variable: x = sent, de donde tienes: dx = cost*dt, y también tienes: √(1 - x2) = √(1 - sen2t) = cost, y también: arcsenx = t (1), luego sustituyes y queda:
I = ∫ cost*dt / (sen2t*cost) = simplificas = I = ∫ (1/sen2t)*dt = - cotg(t) + C = sustituyes la expresión señalada (1) = - cotg(arcsenx) + C.
2)
Puedes escribir la integral en la forma:
I = ∫ sen2x*senx*dx / (4 - cos2x) = ∫ (1 - cos2x)*senx*dx / (4 - cos2x),
luego tienes el cambio de variable: t = cosx, de donde tienes: dt = - senx*dx, y también tienes: - dt = senx*dx, luego sustituyes y queda:
I = ∫ (1 - t2)*(- dt) /(4 - t2) = ∫ (- 1 + t2)/(4 - t2) * dt;
observa que puedes trabajar en el argumento de la integral:
(- 1 + t2)/(4 - t2) = (4 - 1 - 4 + t2)/(4 - t2) = ( 3 - 4 + t2 )/(4 - t2) = ( 3 - (4 - t2) )/(4 - t2) = 3/(4 - t2) - (4 - t2)/(4 - t2) = 3/(4 - t2) - 1;
luego sustituyes y la integral queda:
I = ∫ ( 3/(4 - t2) - 1 )*dt = ∫ ( 3/(4 - t2) )*dt - ∫ 1*dt,
y observa que en la primer integral puedes aplicar el método de las fracciones parciales, y que observa que la segunda integral es directa.
Te dejo la tarea y, si te es preciso no dudes en volver a consultar.
Espero haberte ayudado.

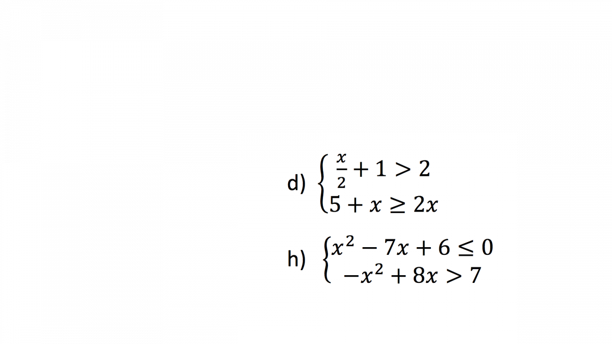
a)
Despejamos en cada inecuación por separado:
1) Tienes:
x/2 + 1 > 2, multiplicas por 2 en todos los términos de la inecuación (observa que no cambia la desigualdad) y queda:
x + 2 > 4, haces pasaje de término y queda: x > 2 (1).
2) Tienes:
5 + x ≥ 2x, haces pasajes de términos y queda:
- x ≥ - 5, multiplicas en ambos miembros por -1 (observa que cambia la desigualdad) y queda: x ≤ 5 (2).
Luego, observa que los valores reales de x que verifican las inecuaciones señaladas (1) (2) son los que son estrictamente mayores que 2 y menores o iguales que 5,
por lo que el intervalo solución queda: S = (2,5].
b)
Comienza por factorizar en cada inecuación por separado (observa que son cuadráticas):
1) Tienes:
x2 - 7x + 6 ≤ 0, factorizas la expresión polinómica cuadrática del primer miembro (puedes emplear la fórmula resolvente) y queda:
(x - 1)(x - 6) ≤ 0, luego (observa que tenemos un producto que debe ser negativo) tienes dos opciones:
1a) x - 1 ≥ 0 y x - 6 ≤ 0, haces pasajes de términos y quedan: x ≥ 1 y x ≤ 6, que conduce al subintervalo: I1 = [1,6] (1);
1b) x - 1 ≤ 0 y x - 6 ≥ 0, haces pasajes de términos y quedan: x ≤ 1 y x ≥ 6, que conduce al subintervalo vacío (observa que las dos inecuaciones son incompatibles).
2) Tienes:
- x2 + 8x > 7, multiplicas por -1 en todos los términos de la ineccuación (observa que cambia la desigualdad) y queda.
x2 - 8x < - 7, haces pasaje de término y queda:
x2 - 8x + 7 < 0, factorizas la expresión polinómica cuadrática del primer miembro (puedes emplear la fórmula resolvente) y queda:
(x - 1)(x - 7) < 0, luego (observa que tenemos un producto que debe ser estrictamente negativo) tienes dos opciones:
2a) x - 1 > 0 y x - 7 < 0, haces pasajes de términos y quedan: x > 1 y x < 7, que conduce al subintervalo: I2 = (1,7) (2);
2b) x - 1 < 0 y x - 7 > 0, haces pasajes de términos y quedan: x < 1 y x > 7, que conduce al subintervalo vacío (observa que las dos inecuaciones son incompatibles).
Luego, planteamos el intervalo solución del sistema de inecuaciones como la intersección de los subintervalos soluciones de las ecuaciones tratadas individualmente que hemos señalado (1) (2), y queda:
S = I1 ∩ I2 = [1,6] ∩ (1,7) = (1,6].
Espero haberte ayudado.
Porque se hace como el camino A. Y queda (ln2)^2 y no como el camino B. Que es lo que me saldria hacer

Tienes la integral:
I = ∫ 2x*x*dx,
luego has aplicado correctamente el método de integración por partes, y la integral quedö:
I = x*2x/ln2 - ∫ 2x/ln2 * dx = extraes el divisor constante de la integral = x*2x/ln2 - (1/ln2) * ∫ 2x * dx,
luego, observa que la integral que falta resolver es directa, por lo que queda:
I = x*2x/ln2 - (1/ln2) * 2x/ln2 + C = x*2x/ln2 - ( 1/(ln2)2 ) * 2x + C = x*2x/ln2 - 2x/(ln2)2 + C.
Espero haberte ayudado.