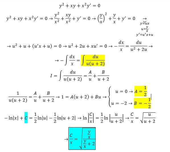
Hola, agradecería ayuda para esta pregunta de geometría hiperbólica.
- Sabiendo que el área de un triángulo se calcula, en un plano hiperbólico, aplicando la fórmula de Lambert PI - (α+β+γ)= C*A, donde alfa,beta y gamma son ángulos de un triángulo, A el área y C una constante. Para C≠1, explique de forma sencilla para que, al introducir C en la ecuación de distancia de dos puntos A y B, deba hacerse elevado a -1/2, es decir, C^-1/2.

Me encantaría ayudarte, pero no respondo dudas universitarias que no tengan que ver específicamente con los videos que ya he grabado como excepcion. O de otras asignaturas que no sean matemáticas, física y química. Lo siento de corazón… Espero lo entiendas
Ojalá algun unicoo universitario se anime a ayudarte (de hecho lo ideal es que todos los universitarios intentarais ayudaros los unos a los otros)
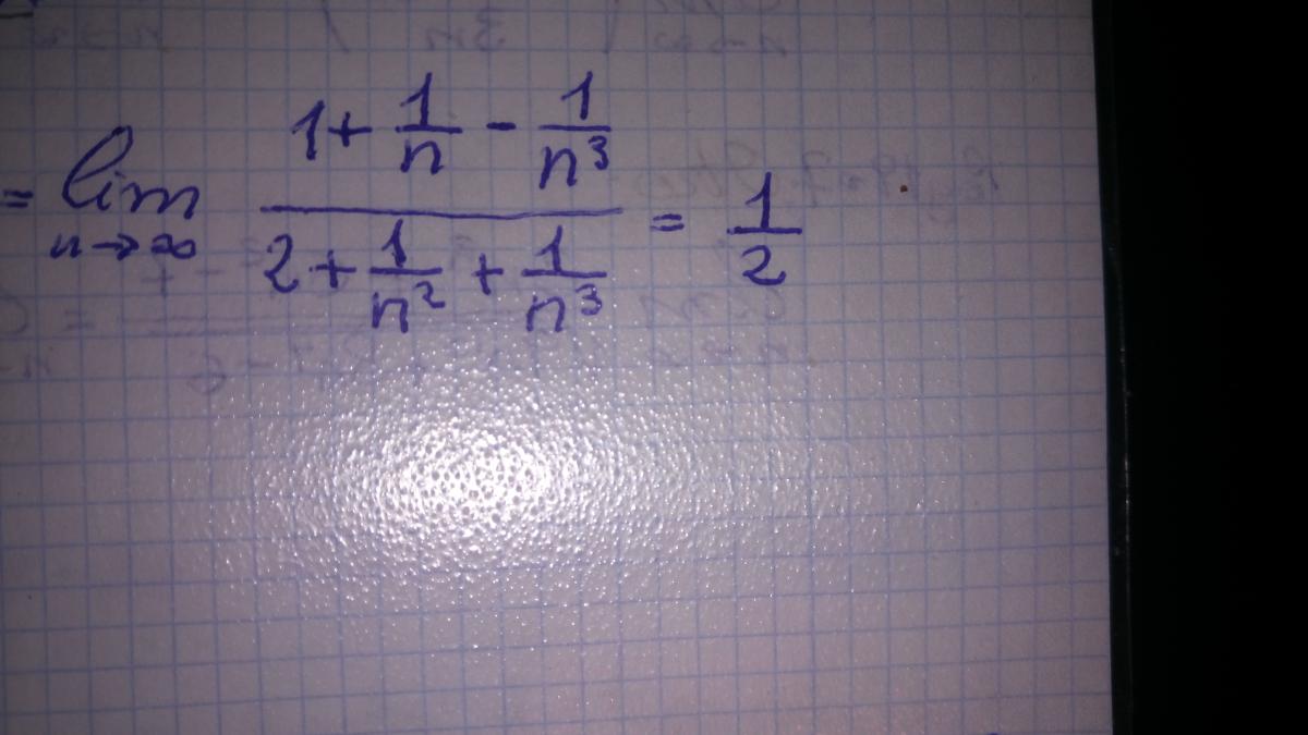
Esta integral me tiene bastante pensativo, que me recomiendan hacer?
OJO: No quiero que me digan como resolverlo y el resultado de una vez, no es la idea :) solo quiero una pista o algo así.
Gracias de ante mano :)
hola queria saber si me podian ayudar con el siguiente problema, estaba estudiando pero al intentar realizar los ejercicios que venian en el libro ya no me ponia el intervalo ej [a,b]
y ya no supe como iniciarlo, ya ven que el Δx se sacaba (b-a/2) pero como no tengo el intervalo.
Emplea sumas superiores para encontrar el área limitada por la curva, el eje X, las rectas dadas o el intervalo indicado
f(x) = 4x+5 ; x=2 ; x=5