
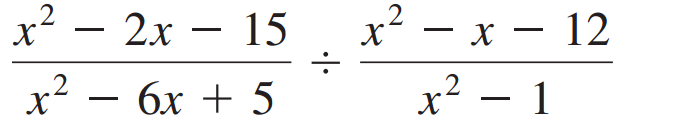
Observa que tienes cuatro polinomios cuadráticos, que puedes factorizar con la fórmula resolvente (o de Baskara), lo haces y la expresión queda:
[ (x+3)(x-5) / (x-1)(x-5) ] ÷ [ (x+3)(x-4) / (x+1)(x-1) ] = luego resolvemos (recuerda que multiplicamos la primera expresión por la recíproca de la segunda) y queda:
= [ (x+3)(x-5) / (x-1)(x-5) ] * [ (x+1)(x-1) / (x+3)(x-4) ] = resolvemos el producto (recuerda que multiplicamos numeradores y multiplicamos denominadores por separado) y queda:
= (x+3)(x-5)(x+1)(x-1) / (x-1)(x-5)(x+3)(x-4) = simplificamos los factores remarcados en los numeradores y en los denominadores y queda:
= (x + 1)/(x-4).
Espero haberte ayudado.

Vamos con una orientación para plantear el problema.
Debes aplicar la Ley de Enfriamiento de Newton, cuya expresión es:
(T - Ta) = (T0 - Ta)*e-k*t,
en la que:
T es la temperatura instantánea (en °F),
T0 es la temperatura inicial del cuerpo (en °F),
Ta es la temperatura del ambiente (en °F),
t es el tiempo (en horas),
k es una constante a determinar.
Luego, volcamos los datos conocidos en una tabla de valores:
t T
12 80, reemplazamos en la ecuación y queda: (80 - 70) = (T0 - 70)*e-k*12
13,5 74, reemplazamos en la ecuación y queda: (74 - 70) = (T0 - 70)*e-k*13,5
luego, queda el sistema de dos ecuaciones exponenciales con dos incógnitas:
10 = (T0 - 70)*e-k*12
4 = (T0 - 70)*e-k*13,5
luego, resuelves el sistema (observa que puedes dividir miembro a miembro para comenzar a resolverlo) y obtendrás los valores de T0 y k;
y luego reemplazas el valor t = 10,5, y obtendrás el valor de la temperatura del cuerpo al cometerse el asesinato.
Espero haberte ayudado.

Me encantaría ayudarte, pero no respondo dudas universitarias que no tengan que ver específicamente con los videos que ya he grabado como excepcion. O de otras asignaturas que no sean matemáticas, física y química. Lo siento de corazón… Espero lo entiendas
Ojalá algun unicoo
universitario se anime a ayudarte (de hecho lo ideal es que todos los
universitarios intentarais ayudaros los unos a los otros)
P.D. PArte del trabajo duro siempre tiene que ser vuestro. En tu caso, por ejemplo, habría estado genial que al menos pasaras todas las unidades al sisgtema internacional..
hola unicoos necesito de su ayuda!! el tema es Ecuaciones Diferenciales espero puedan ayudarme son tres ejercicios ![]()

Me encantaría ayudarte, pero no respondo dudas universitarias que no tengan que ver específicamente con los videos que ya he grabado como excepcion. O de otras asignaturas que no sean matemáticas, física y química. Lo siento de corazón… Espero lo entiendas
Ojalá algun unicoo universitario se anime a ayudarte (de hecho lo ideal es que todos los universitarios intentarais ayudaros los unos a los otros)
También necesito ayuda con este otro problema.
a) Encuentra los puntos P(0, 3), Q(3, 0) y R(6, 3) en el plano de coordenadas. ¿Dónde debe estar ubicado el punto S para que PQRS sea un cuadrado?
b) Encuentra el área de PQRS.
Hola. Me gustaría saber como es la resolución de este problema. Gracias.
Abbie pinta el doble de rápido que Beth y el triple de rápido que
Cathie. Si les toma 60 minutos pintar una sala con las tres trabajadoras
juntas, ¿cuánto tiempo tardaría Abbie si ella trabajara sola?