Foro de preguntas y respuestas de Matemáticas

logo beUnicoos
Los foros de unicoos se han unificado en nuestra nueva plataforma beUnicoos. Para dejar nuevas preguntas deberás hacerlo allí, donde además podrás encontrar nuevas asignaturas y herramientas para ayudarte más con tus estudios.

  • icon

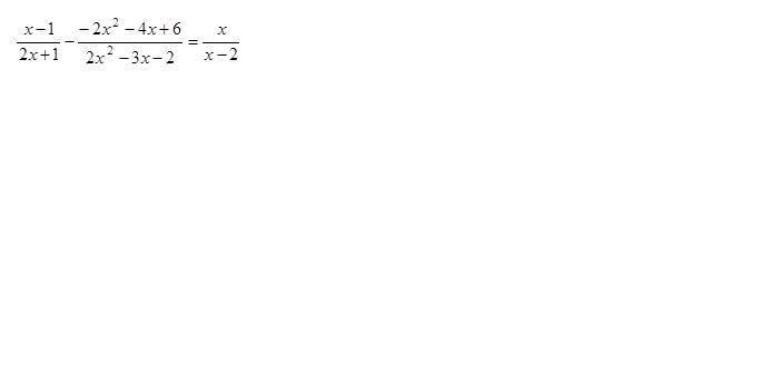
    Sebastián
    el 4/2/17

    ¿Estos ejercicios cómo se harían?


    replythumb_up0 voto/sflag
    icon

    Ángel
    el 4/2/17


    thumb_up1 voto/sflag
    icon

    Ángel
    el 4/2/17


    thumb_up1 voto/sflag
  • icon

    María
    el 4/2/17

    Demuestra que la ecuación x5-x4-x3-5x2-12x-6=0  tiene exactamente una raíz racional, y luego demuestra que debe tener ya sea dos o cuatro raíces racionales.

    replythumb_up0 voto/sflag
    icon

    Antonius Benedictus
    el 4/2/17

    Ese polinomio tiene una raíz entera (racional), dos irracionales y dos imaginarias:


    thumb_up0 voto/sflag
  • icon

    Fernando
    el 4/2/17

    ¿Cómo se resuelve este ejercicio? Gracias de antemano.



    replythumb_up0 voto/sflag
    icon

    Antonius Benedictus
    el 4/2/17


    thumb_up0 voto/sflag
    icon

    Antonius Benedictus
    el 4/2/17


    thumb_up0 voto/sflag
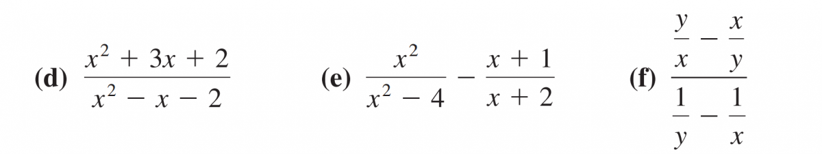
  • icon

    María
    el 4/2/17

    Alguien que me pueda ayudar.


    replythumb_up0 voto/sflag
    icon

    Ángel
    el 4/2/17


    thumb_up1 voto/sflag
    icon

    Ángel
    el 4/2/17


    thumb_up1 voto/sflag
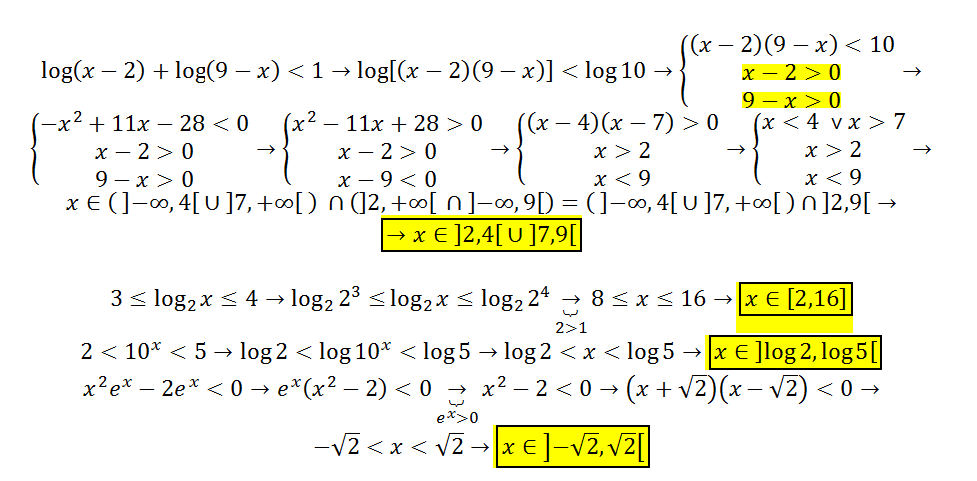
  • icon

    Ingrid
    el 4/2/17

    Me pueden ayudar con esta ecuación racional, me piden su conjunto solución. Gracias


    replythumb_up0 voto/sflag
    icon

    Antonius Benedictus
    el 4/2/17


    thumb_up0 voto/sflag
  • icon

    Sonia Ramis García
    el 4/2/17

    Cómo es la representación de esta función? No entiendo por qué hay 2 mínimos (es que son 2 rectas?). GRACIAS

    replythumb_up0 voto/sflag
    icon

    Antonius Benedictus
    el 4/2/17


    thumb_up0 voto/sflag
  • icon

    Paula
    el 4/2/17

    Ayuda.


    replythumb_up0 voto/sflag
    icon

    Antonius Benedictus
    el 4/2/17


    thumb_up0 voto/sflag
    icon

    Paula
    el 4/2/17

    Muchas gracias, Antonio.

    thumb_up0 voto/sflag
  • icon

    Marcos
    el 4/2/17

    Hola tengo una duda de universidad. Es de series de potencias, Taylor. El ejercicio dice lo siguiente:

    Usar la expansión 1/(1-x) = 1 +x+ x2 + x3+... , valida en el rango -1 < x < 1, para representar las siguientes funciones

        a) f(x) = ln x, en potencias de (x-4)

        b) f(x) = 1/x2, en potencias de (x+2)

        c) f(x) = xln(1-x), en potencias de x

    Mi duda ya arranca desde el comienzo, porque no se por qué 1/(1-x) es igual a 1 +x+ x2

    Desde ya muchas gracias

    replythumb_up0 voto/sflag
    icon

    Antonius Benedictus
    el 4/2/17


    thumb_up1 voto/sflag
    icon

    Marcos
    el 4/2/17

    Perfecto!!.. Ahora si lo entendí. Muchas gracias.

    Y otra pregunta, cómo sería en el ejercicio a por ejemplo? Porque no sabría ni cómo arrancar digamos

    thumb_up0 voto/sflag
  • icon

    Álvaro Barbero
    el 4/2/17

    Es un ejercicio de vectores. Un rayo de luz "r", que pasa por el punto A(1,2), incide sobre el eje de abscisas y se refleja formando con él un ángulo de 30º. Halla la ecuación de los rayos incidentes y reflejados.

    Gracias por su ayuda.

    replythumb_up0 voto/sflag
    icon

    César
    el 4/2/17

    foro de fisica please

    thumb_up0 voto/sflag
    icon

    Antonius Benedictus
    el 4/2/17


    thumb_up1 voto/sflag
    icon

    Álvaro Barbero
    el 4/2/17

    Muchas gracias!!, ya lo he entendido.

    thumb_up0 voto/sflag
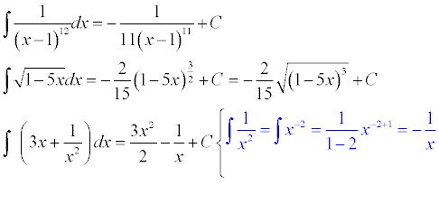
  • icon

    Marta
    el 4/2/17

    Estan bien hechas estas integrales?

    replythumb_up0 voto/sflag
    icon

    César
    el 4/2/17