Decidir si la funcion h(x): |x2-4| cumple con las hipotesis del teorema de Lagrange, en el intervalo [1;3]. Justificar
Mi respuesta fue que no cumple con la hipotesis ya que al ser un polinomio si es continua pero al tener la barras de valor absoluto no es derivable y por eso no cumple con la hipotesis del teorema de Lagrange
Llevo intentando resolver este problema durante una hora de diversas formas con Gaus y se me resiste.
Un museo tiene tres salas de exposiciones: A,B y C. Los precios de las entradas son, respectivamente, 2, 4 y 7€. Un determinado día entraron a las tres salas un total de 210 personas, siendo la reacudación conjunta igual a 810€. Teniendo en cuenta que la novena parte de los visitantes de la sala A es igual a la séptima parte de los visitantes de la sala B, determina el número de visitantes de cada sala.

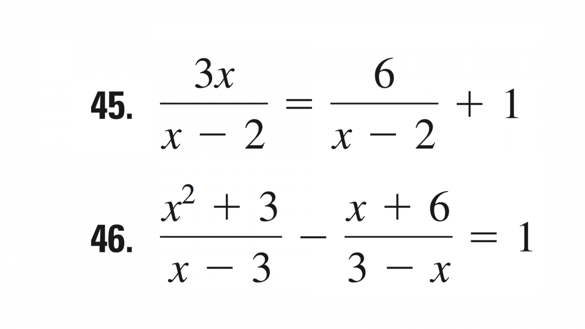
45)
Observa que las dos fracciones tienen denominador (x-2), por lo que x debe tomar valores distintos de 2.
Luego, podemos multiplicar y dividir por (x-2) en el último término y queda:
3x/(x-2) = 6/(x-2) + 1(x-2)/(x-2), luego podemos extraer denominador común en el segundo miembro y queda:
3x/(x-2) = ( 6 + 1(x-2) )/(x-2), luego tenemos igualdad entre expresiones fraccionarias con denominadores iguales, por lo que planteamos:
3x = 6 + 1(x - 2), distribuimos en el segundo término del segundo miembro y queda:
3x = 6 + 1x -2, hacemos pasaje de término literal y queda:
3x - 1x = 6 - 2, reducimos términos semejantes en ambos miembros y queda:
2x = 4, hacemos pasaje de factor como divisor y queda:
x = 4/2, resolvemos y queda:
x = 2, que no es una solución válida, por lo que concluimos que la ecuación del enunciado no tiene solución.
46)
Observa que las dos fracciones del primer miembro tienen denominadores (x-3) y (3-x), y que x debe tomar valores distintos de 3.
Luego, observa que los denominadores de las fracciones son opuestos, por lo que multiplicamos y dividimos por -1 en el segundo término y queda:
(x2+3)/(x-3) - (-1)(x-6) / (-1)(3-x) = 1, resolvemos productos en la segunda fracción y queda:
(x2+3)/(x-3) - (-x+6)/(-3+x) = 1, conmutamos términos en el denominador de la segunda fracción y queda:
(x2+3)/(x-3) - (-x+6)/(x-3) = 1, extraemos denominador común en el primer miembro y queda:
( x2 + 3 - (- x + 6) )/(x - 3) = 1, hacemos pasaje de divisor como factor y queda:
x2 + 3 - (- x + 6) = 1(x -3), distribuimos agrupamientos y queda:
x2 + 3 + x - 6 = x - 3, hacemos pasajes de términos y queda:
x2 + x - x = - 3 - 3 + 6, cancelamos términos opuestos en el primer miembro, reducimos términos semejantes en el segundo miembro y queda:
x2 = 0, hacemos pasaje de potencia como raíz y queda:
x = √(0), resolvemos el segundo miembro y queda:
x = 0, que es una solución válida, por lo que concluimos que x = 0 es la solución de la ecuación del enunciado.
Espero haberte ayudado.
Saludos! Llevo varias horas dando vueltas a este ejercicio de probabilidad. A partir del inciso b comienzo a encontrar una dificultad en hallar la probabilidad pedida, no estoy convencido de lo que he hecho además de que los valores difieren de los resultados dados por la cátedra. Mi mayor duda es, con los datos dados en a), cómo logro obtener la probabilidad de que ocurra A y la probabilidad de que ocurra T (P(A) y P(T) respectivamente) ¿Es posible hallarlos?¿Es necesario? Dejo unas imágenes con el problema y la resolución que planteé. Desde ya gracias!