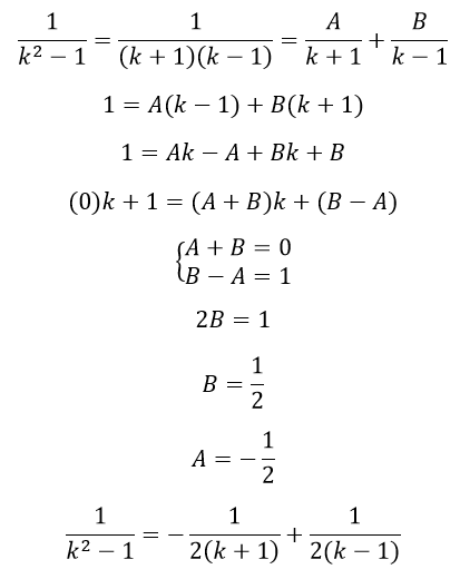
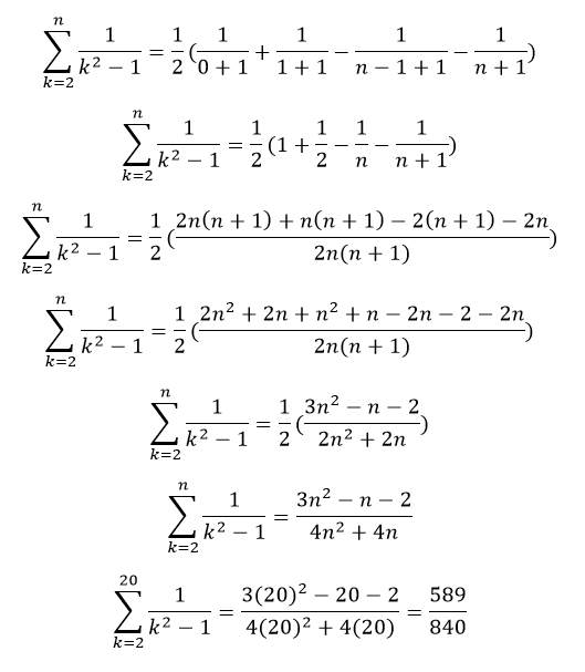
Buenas tardes, por favor me pueden ayudar con esta suma, intente hacer fracciones parciales, con las propiedades y no doy con el resultado. Gracias por su colaboracion

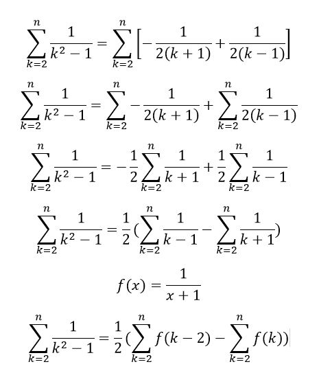
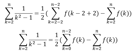
Luego como la sumatoria es una suma tras suma, puedes separar la sumatoria en dos sumatorias por propiedades.
Despues saco las constantes fuera de la sumatoria en este caso (-1/2) y (1/2), luego hago factor comun de (1/2).
Y para un ejemplo mas instructivo hice que la sumatoria fuece hasta cualquier "n" que quieras, mas no como en la imagen que pusiste haste "20".
Luego llamo a una funcion f(x)=1/(x+1) pero yo tengo un 1/(k-1). mi f(k)=1/(k+1) para que me quede (k-1) tendria que restarle (2) Entonces f(k-2)=1/(k-1).

Ahora puedo observar que ambos me quedaron f(k) pero no puedo restarlos debido a que mi subindice y superindice de ambas sumatorias no son iguales, pero facil, uso la logica e intento ponerles en los mismos subindice y superindice a los dos.
Por un lado me quedo la sumatoria desde 0 hasta n-2 de f(k) Y por otro lado me quedo la sumatoria desde 2 hasta n de f(k).
Vamos por la primera, la que dice "sumatoria desde 0 hasta n-2 de f(k)".
Esa sumatoria nos dice desde 0 hasta n-2 quiere decir .... f(0)+f(1)+f(2)+f(3)+...+f(n-2)
Ahora como en la otra sumatoria empieza desde 2 y mi motivo es igualar los subindices y superindices hago que empiece desde 2. por lo tanto....
f(0)+f(1)+f(2)+f(3)+...+f(n-2) = f(0)+f(1)+ SUMATORIA DESDE 2 hasta (n-2) de f(k). LISTO! ahora tenemos el mismo indice ambos empiezan desde (2).
Ahora quiero igualar los superindices.
Ahora escojamos el otro termino que dice
La sumatoria desde 2 hasta n de f(k) que seria... f(2)+f(3)+f(4)+f(5)+...+f(n-3)+f(n-2)+f(n-1)+f(n) hasta "n". Pero yo quiero que sea hasta "n-2" Entonces...
f(2)+f(3)+f(4)+f(5)+...+f(n-3)+f(n-2)+f(n-1)+f(n) = SUMATORIA DESDE 2 HASTA (N-2) DE f(k)+f(n-1)+f(n).
Listo ahora ambos tienen el mismo subindice y superindice, facilmente podemos restarlos y eliminar la sumatoria :)
Una duda tonta. Si mi segunda derivada es 3/2x - 2 y tengo un posible punto de inflexion en x=2
Como puedo comprobar si es punto de inflexion?

Si esa es tu segunda derivada, los puntos de inflexión de la función se sacan hallando los puntos de corte de la segunda derivada con el eje x.
En el caso que tienes ahí, no hay punto de inflexión en x = 2, porque la segunda derivada no corta en ese punto, corta en x = 4/3.
Si aún así no te fias, usa http://fooplot.com/
Espero haberte ayudado.
Cómo se hace la integral fe x/raíz de x?
integral de x/raiz x dx
Primero a la raiz, la escribis en forma exponencial, como x^1/2,porque raiz de x es lo mismo que x^1/2 .Ahora a ese denominador lo pasas al numerador como x^-1/2. Y te quedaria finalmente integral de x.x^-1/2.Haces la operacion(se suman exponentes por ser bases iguales), y te queda integral x^1/2 dx.Y esa ya es directa.

Observa que tenemos: h = 7,2, observa que x es menor que 15 - x, y observa que las longitudes están expresadas en metros.
Luego, pasamos a los triángulos rectángulos coloreados por separado.
En el triángulo amarillo, planteamos:
tanA = x/h, reemplazamos y queda: tanA = x/7,2 (1).
En el triángulo verde planteamos:
tanA = h/(15-x), reemplazamos y queda: tanA = 7,2/(15-x) (2).
Luego igualamos las expresiones señaladas (1) (2) y queda la ecuación:
x/7,2 = 7,2/(15-x) (observa que tenemos que la longitud de la altura correspondiente a la hipotenusa del triángulo del enunciado es medio proporcional entre las longitudes de los catetos),
luego hacemos pasajes de divisores como factores y queda:
x(15 - x) = 7,22, distribuimos en el primer miembro, resolvemos el segundo miembro y queda:
15x - x2 = 51,84, hacemos pasaje de término, ordenamos términos y queda:
- x2 + 15x - 51,84 = 0, multiplicamos por -1 en todos los términos de la ecuación y queda:
x2 - 15x + 51,84 = 0, que es una ecuación polinómica cuadrática cuyas soluciones son:
1) x1 = 9,6 (en m), que corresponde a: 15 - x = 5,4, que no corresponde con la condición remarcada al comienzo;
2) x2 = 5,4 (en m), que corresponde a: 15 - x = 9,6, que si corresponde a la condición remarcada al comienzo.
Luego, aplicamos el Teorema de Pitágoras en ambos triángulos rectángulos coloreados.
En el triángulo amarillo:
a = √(x22 + h2), observa que tienes todos los datos necesarios para calcular.
En el triángulo verde:
b = √( (15 - x2)2 + h2 ), observa que tienes todos los datos necesarios para calcular.
Espero haberte ayudado.
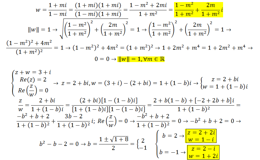
Hola UNICOOS. ¿poidéis ayudarme en los siguientes ejercicios?
Ej 1.
Escribir en forma binómica w = (1 + m · i) / (1 - m · i)
Hallar m para que el módulo de w sea 1.
Ej 2.
Halla dos números complejos sabiendo que su suma es 3 + i, la parte real del primero es 2 y su cociente es imaginario puro.
¡GRACIAS!
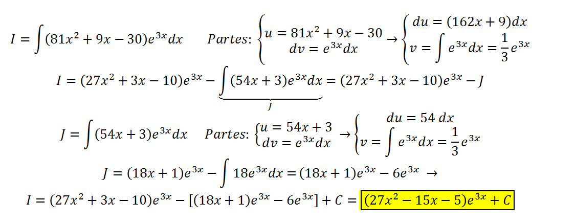
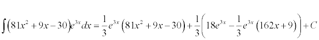
∫ (81 x2 +9x -30)e 3x dx Me sale una expresión demasiado grande yo creo , pido ayuda.

Este ejercicio es de resolución por el método de integración por partes, en dos pasos, en los que debes elegir como expresiión para derivar a la expresión polinómica. Vamos con el primer paso:
u = 81x2 + 9x - 30, de donde tienes: du = (162x + 9)dx
dv = e3xdx, de donde tienes: v = (1/3)e3x,
luego aplicas el método y la integral queda:
I = u*v - ∫v*du = (81x2 + 9x - 30)*(1/3)e3x - ∫ (1/3)e3x,*(162x + 9)dx,
extraemos factores comunes constantes, simplificamos, ordenamos y queda:
I = (27x2 + 3x - 10)*e3x - ∫ (54x + 3)*e3xdx = (27x2 + 3x - 10)*e3x - 3*∫ (18x + 1)*e3xdx.
Luego, puedes volver a aplicar el método, y elige a la expresión polinómica como expresión para derivar.
Haz el intento, y si te es preciso no dudes en volver a consultar.
Espero haberte ayudado.
∫ (x2 -3x) / (x3 +15 x2 +71x +105 ) = Los valores me salen A = 2,25 B = 10 y C = 8,75 Y lla integral me queda al final 2,25 ln Ι x+3 Ι + 10 ln Ι x+5 Ι +8,75 ln Ι x+7 Ι , la pregunta es que no sé si lo he hecho bien ...
Hola buenas. no se hacer esto. Podría alguien ayudarme??
Muchas gracias
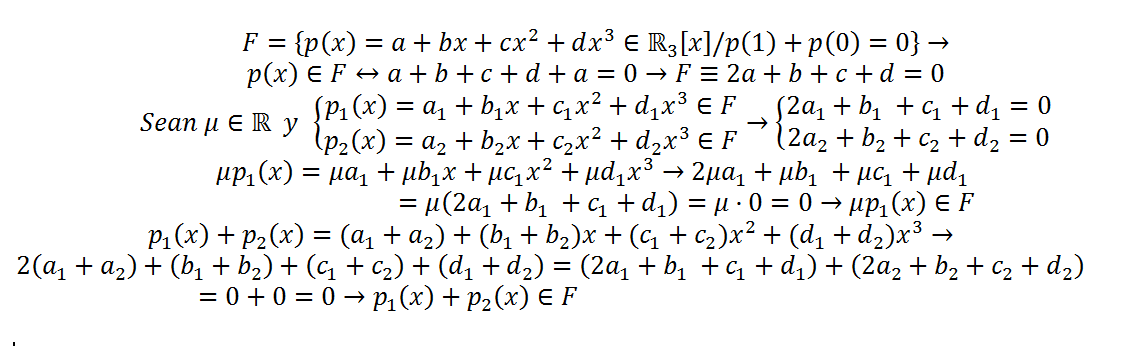
Sea lR3 (x) el espacio vectorial de los polinomios de grado igual o menor que 3 con coeficientes reales y el subespacio F1 ={ p(x)€lR3(x) / p(1) + p(0) =0}
1) Demostrar que F1 es un subespacio vectorial de lR3(x)

a)
Observa que el polinomio nulo, O(x) pertenece al subconjunto:
O(1) + O(0) = 0 + 0 = 0.
b)
Tomemos dos polinomios, p y q, que pertenecen al subconjunto, por lo que tenemos:
p(1) + p(0) = 0
q(1) + q(0) = 0
luego planteamos la suma miembro a miembro y término a término:
p(1) + q(1) + p(0) + q(0) = 0 + 0, agrupamos términos:
( p(1) + q(1) ) + ( p(0) + q(0) ) = 0, luego, por definición de suma de polinomios tenemos:
(p + q)(1) + (p + q)(0) = 0, por lo que tenemos que el polinomio suma (p + q) pertenece al subconjunto.
c)
Tomemos un escalar (número) real k y un polinomio p que pertenece al subconjunto, por lo que tenemos:
p(1) + p(0) = 0 (1)
luego planteamos el producto del escalar por el polinomio:
(kp)(1) + (kp)(0) = luego, por definición de producto de escalar por polinomio tenemos:
= k*p(1) + k*p(0) = extraemos factor común escalar y queda
= k*( p(1) + p(0) ) = sustituimos según la igualdad señalada (1) y queda:
= k*0 = 0, por lo que tenemos que el polinomio (kp) pertenece al subconjunto.
Luego, como se cumplen las condiciones a), b) y c), tenemos que el subconjunto es un subespacio vectorial del espacio vectorial cuyos elementos son los polinomios con grado menor o igual que 3, sobre el cuerpo de los números reales.
Espero haberte ayudado.