hola me acabo de registrar y no se muy bien como encontrar la informacion....los test de autoevaluacion donde estan ?.
hola buenas me gustaría saber si podrías realizar un video explicando como resolver los problemas algebraicos de inecuaciones , muchas gracias¡¡

De inecuaciones tienes muchisimos, pero no sabria decirte nada más si no aportas algun ejemplo concreto...
Echale un vistazo... Inecuaciones
Hola David, ¿ te importaría hacer un video explicando problemas con fracciones? Si puede ser de 1oESO incluyendo: reducir a común denominador. Te pongo el ejemplo de uno de los problemas que trae mi libro....(Editorial SM de savia)
Roberto ha hecho un viaje en varias etapas. El primer dia ha cubierto 3/10 del recorrido. El segundo dia ha hecho 1/4 del camino, el tercer dia 1/5 , y todavía le faltan 100 KM para llegar a su destino.¿ Cuántos KM habrá recorrido al terminar?
Muchas gracias y un saludo!!!
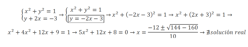
Buenas a todos, soy alumno de UNED y tengo una duda con Fundamento de matemáticas ¿Alguien podría revisarme este ejercicio? lo he desarrollado de dos formas diferentes y no se si estan bien o cual es la más correcta. Gracias

Me encantaría ayudarte, pero no respondo dudas universitarias que no tengan que ver específicamente con los videos que ya he grabado como excepcion. O de otras asignaturas que no sean matemáticas, física y química. Lo siento de corazón… Espero lo entiendas
Ojalá algun unicoo universitario se anime a ayudarte (de hecho lo ideal es que todos los universitarios intentarais ayudaros los unos a los otros)
Lo entiendo, ya lo hacemos en grupos de telegram que creamos los compañeros, pero evidentemente hay dudas que tenemos que entre nosotros no podemos resolvernos. Gracias de todos modos y el ejercicio trata sobre composición de funciones vectoriales y matriz jacobiana por si puedo convencerte de que nos hagas un videos ;P
Hola me podríais decir un raíz para representar en la resta mayor que 20 y que no se ni 23,35 y que de más de dos raíces
Gracias por la respuesta de antes.Un saludo

9) Tienes que la utilidad es igual a la diferencia entre el ingreso y el costo, por lo que planteamos:
U(x) = I(x) - C(x) = 5x - (3,5x + 600) = 5x - 3,5x - 600 = 1,5x - 600.
Luego tienes el intervalo para las unidades producidas y vendidas, que corresponde a la doble inecuación:
2400 < x < 3400, multiplicamos por 1,5 en los tres miembros (observa que no cambian las desigualdades) y queda:
3600 < 1,5x < 5100, restamos 600 en los tres miembros y queda:
3000 < 1,5x - 600 < 4500, sustituimos y queda:
3000 < U(x) < 4500.
Luego, concluimos que la tercera opción es la correcta.
10) Tienes que el costo es la diferencia entre el ingreso y la utilidad, por lo que planteamos:
C(x) = I(x) - U(x) = 7,5x - (2x - 100) = 7,5x - 2x + 100 = 5,5x + 100.
Luego tienes el intervalo para el costo, que corresponde a la doble inecuación:
595 < C(x) < 1200, sustituimos y queda:
595 < 5,5x + 100 < 1200, restamos 100 en los tres miembros y queda:
495 < 5,5x < 1100, dividimos por 5,5 en los tres miembros (observa que no cambian las desigualdades) y queda:
90 < x < 200.
Luego, concluimos que la tercera opción es la correcta.
Espero haberte ayudado.