Hola alguien que me ayude con estos ejercicios por favor
S (5x^1/2-3x+1/raíz de x) dx
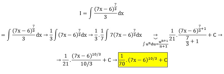
S (7x-6)^7/3 entre 3 dx

Vamos con la primera. Si tienes planteada la integral:
I = ∫ ( (5x1/2 - 3x + 1)/√(x) ) dx, observa que puedes escribir a la raíz denominadora como una potencia con exponente fraccionario y queda:
I = ∫ ( (5x1/2 - 3x + 1)/x1/2 ) dx, luego distribuyes el denominador y queda:
I = ∫ ( 5 - 3x1/2 + x-1/2 ) dx, luego separas en términos, extraes factores constantes de las integrales y queda:
I = 5 ∫ 1 dx - 3 ∫ x1/2 dx + ∫ x-1/2 dx, luego resuelves las integrales (observa que son todas directas) y queda:
I = 5x - 3(2/3)x3/2 + 2x1/2 + C, resolvemos factores constantes en el segundo término y queda:
I = 5x - 2x3/2 + 2x1/2 + C.
Puedes verificar que la solución general es correcta derivajdo el resultado.
Espero haberte ayudado.
alguien me explica los pasos para realizar una ecuación mediante factorizacion?

Observa que puedes expresar a la sumatoria del enunciado como una suma de dos sumatorias:
∑(n=1,∞) (xn + 1 / 2nxn) = ∑(n=1,∞) (xn) + ∑(n=1,∞) (1 / 2nxn).
Luego, tenemos que el intervalo de convergencia es la intersección de los intervalos de convergencia de las series, y para ambos términos podríams plantear el Criterio de D'Alembert (o de la razón), u observar con atención a los términos generales:
Observa que para la primera, tenemos que su término general es: an = xn, que corresponde a una serie geométrica de razón x, por lo que su intervalo queda descrito por la inecuación:
|x| < 1, que conduce al intervalo de convergencia: I1 = (-1,1).
Observa que para la segunda, tenemos que su término general es: bn = 1 / 2nxn = 1/(2x)n = (1/2x)n, que corresponde a una serie geométrica de razón 1 / 2x, por lo que su intervalo queda descrito por la inecuación:
|1 / 2x| < 1, distribuimos el valor absoluto y queda:
1 / 2|x| < 1 hacemos pasaje de divisor como factor y queda:
1/2 < |x|, expresamos la desigualdad tal como se la lee de derecha a izquierda:
|x| > 1/2, que conduce al intervalo: I2 = (-∞,-1/2) u (1/2,+∞).
Luego, como la serie del enunciado es suma de las dos series cuyos intervalos de convergencia hemos determinado, planteamos para el intervalo de convergencia de la serie del enunciado:
I = I1 ∩ I2 = (-1,-1/2) ∪ (1/2,1).
Espero haberte ayudado.
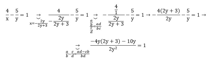
Como resuelvo este sistema de ecuaciones POR FAVOR Y GRACIAS
2/X + 3/Y = -2
4/X - 5/Y = 1

Observa que x e y deben ser ambos distintos de cero.
a) Luego, multiplicas por 2 en todos los términos de la primera ecuación y el sistema queda:
4/x + 6/y = - 4
4/x - 5/y = 1
Luego restas miembro a miembro y queda:
11/y = - 5, haces pasaje de divisor como factor y queda:
11 = - 5y, haces pasaje de factor como divisor y queda: - 11/5 = y..
b) Luego, multiplicas por 5 en todos los términos de la primera ecuación, y multiplicas por 3 en todos los términos de la segunda ecuación y el sistema queda:
10/x + 15/y = - 10
12/x - 15/y = 3
Luego sumas miembro a miembro y queda:
22/x = - 7, haces pasaje de divisor como factor y queda:
22 = - 7x, haces pasaje de factor como divisor y queda: - 22/7 = x.
Espero haberte ayudado.
Donde se encuentra el error en el razonamiento o en el cálculo, en esta falacia?
Todos los triángulos son isósceles.
Demostración. Consideramos el triángulo ΔABC. Hazemos la mediatriz OP al lado AB y la bisectriz OC al ángulo ∠ACB. Se cortan en el punto O. Unimos O con A y con B. Desde O hazemos las perpendiculares ON y OM a los lados CB y AC, respectivamente. Sean N y M los pies respectivos de las perpendiculares. Los triángulo ΔOMC y ΔONC son iguales porque tienen tres ángulos iguales y la hipotenusa comuna. Por tanto, CN y CM son iguales. A más, NO y OM són iguals. Los triángulos ΔBON y ΔAOMP son iguales. De donde resulta que BN y AM son iguales. Por tanto,
AC = AM + MC = CN + NB = CB.
El triángulo es isósceles.
Hay dos preguntas en este ejercicio:
- Donde esta el error.
-El error es de razonamiento o de cálculo.

Alguien me puede ayudar con esta pregunta.
Verdadero o falso. justifica tu respuesta o pon un ejemplo.
No existe ningún sistema de inecuaciones lineales con 2 incógnitas cuya solución sea un único punto en el plano.
Gracias.
------------------Trigonometria------------------
Resuelva las siguiente ecuaciones
cos(π / 6 +x) = senx

Puedes comenzar por aplicar la identidad del coseno de la suma de dos ángulos en el primer miembro y queda:
cos(π/6)*cosx - sen(π/6)*senx = senx, reemplazas valores numéricos y queda:
(√(3)/2)*cosx - (1/2)*senx = senx, multiplicas por 2 en todos los términos de la ecuación y queda:
√(3)*cosx - senx = 2senx, haces pasajes de términos y queda:
- 3*senx = - √(3)*cosx, hacemos pasajes de factores como divisores y queda:
tanx = √(3)/3, compones con la función inversa de la tangente y tienes dos opciones (recuerda que la tangente es positiva en el primer y en el tercer cuadrante):
1) x = π/6 + 2kπ, con k ∈ Z;
2) x = 7π/6 + 2mπ, con m ∈ Z.
Espero haberte ayudado.

tanx = √(3)/3 --> De esto obtengo lo siguiente
x = arctan (√3/3)
x = π/6
Como se que solo puede ser valido en el 1 y 3 cuadrante entiendo que la respuesta de mi guía sea ---> x= π/6 + k π. Pero no se como seria lo de la composición, es decir no se de donde obtuviste estas otras respuesta que también son correctas.--->1) x = π/6 + 2kπ, con k ∈ Z 2) x = 7π/6 + 2mπ, con m ∈ Z.

Recuerda que para cada valor de una relación trigonométrica tienes dos opciones:
La tangente es positiva en el primer y en el tercer cuadrante, luego, cuando obtienes el valor del ángulo del primer cuadrante, sumas medio giro y obtienes el ángulo del tercer cuadrante:
arctan(√(3)/3) = π/6, que pertenece al primer cuadrante, y también
arctan(√(3)/3) = π/6 + π = 7π/6, que pertenece al tercer cuadrante.
Espero haberte ayudado.