Vamos a intentarlo.
Esas dos ecuaciones son dos formas de representar la misma recta, y el punto de la recta más cercano a otro punto cualquiera, será aquel que forme otra línea recta entre la recta del sistema y el punto (qué mal me explico).
Dicho de otro modo, el camino más corto para llegar a un punto es la línea recta.
Por tanto tendrás que hacer una recta perpendicular a la recta del sistema, y que además pase por el punto (1, -1, 0). Donde esa recta perpendicular corte a la recta del sistema, será el punto más cercano a (1,-1,0).
Es un poco confuso, espero te ayude.
En esta falacia, donde esta el error que se comete en el razonamiento o en el cálculo? Se tiene que elegir entre razonamiento o cálculo.
Si un conjunto de manzanas tiene una manzana podrida, todas las manzanas están podridas.
Demostración. 1.Si el conjunto sólo tiene una manzana, por hipótesis, estará podrida. Por tanto, todas las manzanas están podridas.
2. Supongamos que la proposición es cierta cuando el conjunto tiene n manzanas. Entonces también lo será cuando el conjunto tenga n + 1 manzanas. En efecto. Supongamos que, en conjunto con n + 1 manzanas, hay al menos una manzana podrida. Sacamos una que no sea la que está podrida. Entonces tenemos un conjunto con n manzanas, con una de podrida. Por tanto, todas lo están, de podridas, porque suponemos que la proposición es cierta en conjuntos con n manzanas, siempre que exista una podrida. Ahora volvemos la manzana no podrida que hemos sacado antes. Tendremos un conjunto con n + 1 manzanas, todas podridas menos una. De este conjunto, sacamos una manzana podrida. Quedará un conjunto, con n manzanas, en el que habrá una manzana no podrida. Todo lo demás serán manzanas podridas. Por tanto, todas las manzanas estarán podridas. Volvemos la manzana podrida que hemos sacado. Entonces todas las manzanas del conjunto con n + 1 manzanas estarán podridas, que es lo que queríamos demostrar.
Hay dos preguntas en este ejercicio:
- Donde esta el error.
-El error es de razonamiento o de cálculo.
Duda sobre un ejercicio de determinantes?.
Hola, estoy empezando a ver determinantes y tengo una duda con este ejercicio
Se me pide que calcule el determinante de (7u,8v) sabiendo que det ( v, u ) = −5
Tengo entendido que si det(v,u)= -5 ...entonces.det (u,v)=5
El problema es que nose bien como distribuir el 7 y el 8.
-----------------------------------------------Trigonometria---------------------------------------------------
Resuelva las siguiente ecuaciones
sen(2x) = tanx----->RTA----->x = kπ; x = π/4 + k π/2
Mi Resolución
1)sen(2x) = tanx
2)2senxcosx = senx/cosx
3)2senxcos^2x = senx
4)2cos^2x = 1
5)cos^2x = 1/2
6)cosx = 1/√2
7)x = arcos 1/√2
8)x = π/4------------> Acá esta mi duda, si hablamos de coseno y obtuvimos un valor positivo, esta condición no debería ser valida solo en el primer y cuarto cuadrante, es decir-->π/4+k3π/2. No se por que se considera valido x = kπ; x = π/4 + k π/2

Muchas gracias, no había pensado que también puede valer 0.
Ahora bien, esto no lo he entendido entender.
senx=0-----> x = kπ
cosx= mas menos √2/2---> x = π/4+ kπ/2----->entiendo que π/4 es resultado de--->x= arcos (+√2/2), expresado en pi, pero el-->kπ/2 no. Se que si calculo --->x= arcos (-√2/2)-->3π/4..... Si la respuesta es 3π/4-π/4, por favor explícame, por que no sabría el motivo de la resta.
La ecuación logarítmica
2logx - log (x+6) = 3log 2
me da que no tiene solución real ya que me sale una raíz negativa. Podrían decirme si es así? No tengo posibilidad de subir foto :(

Observa que x debe ser estrictamente mayor que cero para que exista el logaritmo del primer término, y observa también que x debe ser estrictamente mayor que - 6 para que exista el logaritmo del segundo término, por lo que los valores de x que sean solución de la ecuación logarítmica del enunciado deben ser estrictamente mayores que cero.
Comienza por aplicar la propiedad del logaritmo de una potencia en el primer término del primer miembro y en el término del segundo miembro, y queda:
log(x2) - log(x + 6) = log(23),
luego aplica la propiedad del logaritmo de una división en el primer miembro, resuelve el argumento del logaritmo en el segundo miembro, y queda:
log( x2/(x + 6) ) = log(8),
luego, por igualdad entre logaritmos con bases iguales, igualamos argumentos y queda:
x2/(x + 6) = 8
luego haces pasaje de divisor como factor y queda:
x2 = 8(x + 6)
luego distribuyes en el segundo miembro y queda:
x2 = 8x + 48
luego haces pasajes de términos y queda:
x2 - 8x - 48 = 0
observa que tienes una ecuación polinómica cuadrática cuyas soluciones son:
1) x = - 4, que no es una solución de la ecuación del enunciado (observa que se indetermina el primer término del primer miembro);
2) x = 12, que si es solución de la ecuación del enunciado.
Espero haberte ayudado.
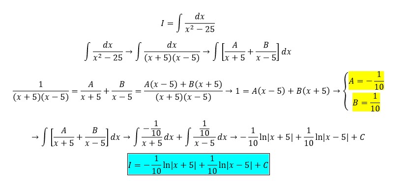
Buenas, como están? Me ayudan con éstas integrales, que parecen sencillas a simple vista. Las hice por el "método de descomposición en fracciones simples", pero la respuesta del libro es otra. La verdad no sé.
Muchas gracias.

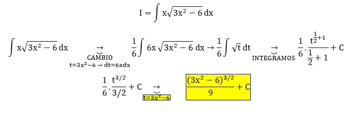
Intenta hacer tú la otra, Fabricio:
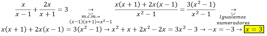
Cuando tenemos que resolver ecuaciones algebraicas, por ejemplo:
x/(x-1) + 2x/(x+1) = 3
Hay que sacar denominador común, hay que aplicarlo a los dos miembros o sólo al que tiene denominadores? Es decir, al 3 también hay que sacarle denominador común?
Hola buenas
Podrían ayudarme ante la siguiente pregunta:
Si el 0.3% de visitantes de una feria han sufrido robos en los últimos año, y se esperan 40 visitantes para la feria próxima, determine:
a) Probabilidad de que no se produzcan ningún robo.
b)Probabilidad de que se produzcan más de 100 robos.
Lo he planteado de esta manera
Saludos