Hola, Disculpen pero tengo una duda con el siguiente ejercicio... no logro resolverlo y siento que me estoy salteando algo... pero no logro darme cuenta de que... Me podrian ayudar!?![]()

Vamos con la expresión del área de un trapecio:
recuerda que es la suma de las longitudes de sus bases, multiplicada por la longitud de su altura, dividida por dos.
Luego tenemos planteadas las longitudes en el enunciado:
base mayor: B = 2x + 3,
base menor: b = x + 4
altura: h = 2x - 1.
Luego, pasamos al área del trapecio:
A = (B + b)h/2, sustituimos y queda:
A = (2x + 3 + x + 4)(2x - 1)/2, reducimos términos semejantes en el primer factor:
A = (3x + 7)(2x - 1)/2, distribuimos factores:
A = (6x2 - 3x + 14x - 7)/2, reducimos términos semejantes en el numerador:
A = (6x2 + 11x - 7)/2, distribuimos el denominador:
A = 3x2 + (11/2)x - 7/2.
Espero haberte ayudado
¿Puede alguien resolver este ejercicio paso a paso? Gracias!!
2sen2X+3cosX=3

Hola Carla,
Tienes un vídeo donde David resuelve una ecuación muy parecida a esa: Ecuación trigonométrica 01
De todas formas te dejo una foto del vídeo transcrito, el procedimiento a seguir es muy similar.
Si sigues teniendo dudas, te lo resuelvo

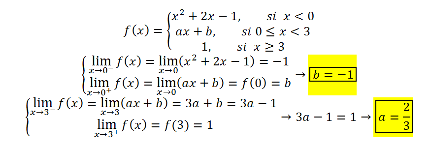
Tienes la ecuación exponencial:
375x+3 = 652x+4
observa que las bases de las expresiones son diferentes, por lo que tomamos logaritmos decimales en ambos miembros y queda:
(5x + 3)*log(37) = (2x + 4)*log(65)
distribuimos en ambos miembros y queda
5log(37)*x + 3*log(37) = 2log(65)*x + 4*log(65)
hacemos pasajes de términos y queda:
5log(37)*x - 2log(65)*x = 4*log(65) - 3*log(37)
extraemos factor común en el primer miembro y queda:
( 5log(37) - 2log(65) )*x = 4*log(65) - 3*log(37)
hacemos pasaje de factor como divisor y queda:
x = ( 4*log(65) - 3*log(37) ) / ( 5log(37) - 2log(65) ).
Solo queda que hagas el cálculo.
Espero haberte ayudado.
¡Hola!
Tengo que resolver el siguiente ejercicio. ¿Sabe alguien? También quisiera saber qué vídeo tendría que ver de unicoos para aprender a resolver esta clase de ejercicios ya que me he paseado por muchos vídeos de unicoos pero no veo la relación. Gracias![]()

Tienes que buscar el tema logaritmos y sus propiedades.
Luego recuerda cuáles son:
ln(a*b) = lna + lnb (logaritmo de un producto)
ln(a/b) = lna - logb (logaritmo de una división)
ln(ap) = p*lna (logaritmo de una potencia)
ln( r√(a) ) = (1/r)*lna (logaritmo de una raíz).
a) Aplicas la propiedad del logaritmo de una potencia y queda:
lny = x2*ln(tanx)
b) Aplicas la propiedad del logaritmo de una potencia y queda:
lny = ( 1/(x + 3) )*ln(x2 + 7)
c) Aplicas la propiedad del logaritmo de una potencia y queda:
lny = ( (x - 4)/7 )*ln( e/(x + 3) )
luego aplicas la propiedad del logaritmo de una división en el segundo factor del segundo miembro y queda:
lny = ( (x - 4)/7 )*( lne - ln(x + 3) )
reemplazamos el valor conocido (recuerda que lne = 1) y queda:
lny = ( (x - 4)/7 )*( 1 - ln(x + 3) )
Espero haberte ayudado.
Hola mis queridos amigos de unicoos
Les pido que me colaboren con un problema que llevo dos días sin una solución de la que me pueda fiar.
× Califique las siguientes proposiciones como verdaderas o falsas. Justifique su respuesta.
a.) ∃x∈R, sgn(x2+1) ∈{0,-1}
b.) Si las funciones f y g definidas de R en R son impares, la función producto es (f.g) es par.
c.) Si las funciones f y g definidas de R en R son impares, la función cociente es (f/g) es impar.
Aquí esta un gráfico de ayuda (guía)
Muchisimas gracias.

Me encantaría ayudarte, pero no respondo dudas universitarias que no tengan que ver específicamente con los videos que ya he grabado como excepcion. O de otras asignaturas que no sean matemáticas, física y química. Lo siento de corazón… Espero lo entiendas
Ojalá algun unicoo universitario se anime a ayudarte
(de hecho lo ideal es que todos los universitarios intentarais ayudaros los
unos a los otros)