En esta falacia, donde esta el error que se comete en el razonamiento o en el cálculo?
Supongamos que a y b son dos números reales con a> b. Entonces a = b.
Demostración. Hacemos c = a-b> 0 y multiplicamos Amdo miembros de la igualdad para a-b> 0.
Análisis de la falacia. Cómo puede ser que, siendo a> b, resulte que a = b? Qué error hemos cometido? Diría que el valor a-b-c es igual a 0. Por lo tanto, en el paso 4, hemos dividido por cero, y eso es incorrecto!
Es un error de razonamiento o de cálculo?

Observa que todo comienzas diciendo: c = a - b, luego con un pasaje de término tienes: 0 = a - b - c.
Observa el paso de la línea 4 a la línea 5: no es posible cancelar los factores (a - b - c) porque son factores nulos (recuerda que puedes cancelar factores no nulos solamente).
Espero haberte ayudado.

La transición entre la línea 4 y la línea 5 sería un error de aplicación de la propiedad cancelativa del producto con igualdades, por lo que sería un error de razonamiento.
En apariencia, has aplicado la propiedad y has cancelado los factores (a - b - c), pero has pasado por alto que el factor cancelado es igual a cero, por lo que no es aplicable la propiedad.
Espero haberte ayudado.
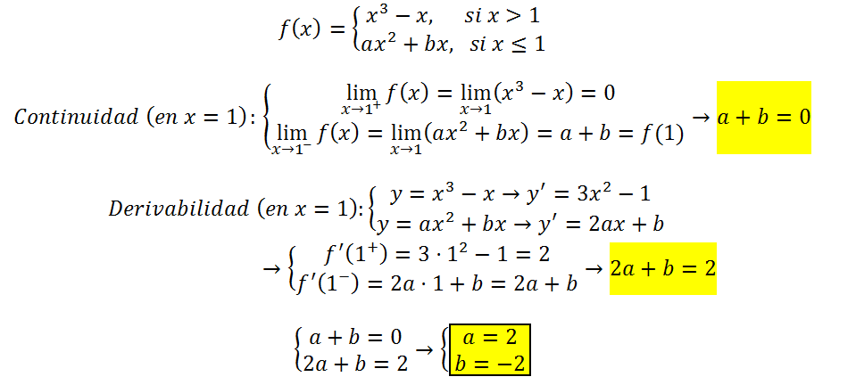
En un ejercicio me pregunta la continuidad y derivabilidad de f(x)= x3-x si x es mayor que 1
ax2+bx si x es menor o igual que 1

1°) Planteamos la continuidad.
Observa que la primera rama es continua para x >1, y observa que la segunda rama es continua para x < 1,
por lo que debemos estudiar el punto de corte entre ramas: x = 1 por medio de la definición:
a) f(1) = a*12 + b*1 = a + b;
b) límites laterales:
Lím(x→1+) f(x) = Lím(x→1+) (x3 - x) = 0,
Lím(x→1-) f(x) = Lím(x→1-) (ax2 + bx) = a + b,
luego, como para que exista el límite los límites laterales deben coincidir, planteamos la ecuación: a + b = 0 (1).
2°) Planteamos la derivabilidad. Observa que la primera rama es derivable para x> 1, y observa que la segunda rama es derivable para x <1,
por lo que debemos estudiar el punto de corte entre ramas: x = 1, por medio de las derivadas laterales, pero, por tener ramas polinómicas suponemos que la función derivada debe ser continua en el punto de corte, por lo que podemos plantear la expresión de la función derivada:
f ' (x) =
3x2 - 1 si x > 1
a determinar si x = 1
2ax + b si x < 1
luego, podemos estudiar los límites laterales de la función derivada para x tendiendo a 1:
Lím(x→1+) f ' (x) = Lím(x→1+) (3x2 - 1) = 2,
Lím(x→1-) f ' (x) = Lím(x→1-) (2ax + b) = 2a + b,
luego planteamos la igualdad de los límites laterales de la función derivada y tenemos la ecuación: 2a + b = 2 (2).
Luego, con las ecuaciones señaladas (1) (2) tenemos el sistema:
a + b = 0
2a + b = 2
cuya solución es: a = 2, b = - 2.
Luego, si la función f es continua y derivable en R su expresión es:
f(x) =
x3 - x si x > 1
2x2 - 2x si x ≤ 1
y la expresión de su función derivada primera es:
f ' (x) =
3x2 - 1 si x > 1
2 si x = 1
4x - 2 si x < 1.
Espero haberte ayudado.
La derivada de f(x)= 2-5x2+1

Puedes escribir a la base como un exponencial, y la expresión queda:
f(x) = (eln2)-5x^2 + 1, luego aplicas la propiedad de una potencia cuya base es otra potencia y queda:
f(x) =eln2*(-5x2 + 1), luego derivas (observa que debes aplicar la regla de la cadena)y queda:
f ' (x) = eln2*(-5x2 + 1) * ln2*(-10x),luego, observa que el primer factor coincide con la expresión de la función, sustituimos y llegamos a:
f ' (x) = 2-5x^2 + 1 * ln2*(-10x).
Espero haberte ayudado.
Hola!!!!!
Soy de Uruguay, me has ayudado mucho con tus vídeos. Y quería saber si podrías hacer alguno específicamente con la explicación de Congruencias de Triángulos y ejercicios!!! Muchas gracias
¿Podría ayudarme, por favor? Gracias!!
5 – 3·[3 +(2/3)i]
¿Cómo sería la integral de tg2x?
David te la explica del minuto 5:00 al 8:00 en este video: http://www.unicoos.com/video/matematicas/1-bachiller/integrales/integrales-inmediatas/integrales-inmediatas-02
Con potencias:
Recuerda que hacer la raíz cuadrada es como elevar a 1/2 y hacer la raíz cuarta es elevar a 1/4: ....he utilizado estos signos para aislar términos: ( ), [ ], { } y ⊂ ⊃
⊂[{5*[(5)1/2]1/2} / (5)1/4⊃ 1/2
Un exponente elevado a otro exponente se multiplican ambos para obtener el resultado 1/2*1/2=1/4:
⊂[{5*[(5)1/4} / (5)1/4⊃ 1/2
Eliminamos el 51/4 del numerador y denominador, pues multiplicar y dividir por lo mismo no altera el resultado, porque 51/4/51/4= 1 y nos queda finalmente:
⊂[{5*[(5)1/4} / (5)1/4⊃ 1/2 = ⊂ 5 ⊃ 1/2 = 51/2= √5