Vamos con el ejercicio 6, apartado 1:
Ordena de menor a mayor 3√4, 4√3, √2 sin utilizar calculadora y razonando el procedimiento.
Primero hallamos el mínimo común múltiplo de los índices, que será el común índice:
mcm(3,4,2)=12
Después dividimos el común índice por cada uno de los índices y cada resultado obtenido se multiplica por sus exponentes correspondientes:
3*4√412/3 4*3√312/4 2*6√212/2
Efectuamos las multiplicaciones de los índices y las divisiones de los exponentes:
12√44 12√33 12√26
Para comparar los 3 números podemos prescindir de 12√ porque afecta a cada uno de los números y nos queda más fácil para poder ordenarlos de menor a mayor:
44 33 26
Calculamos el valor de las bases elevadas a potencias y nos queda:
44=256 33=27 26=64
27, es el más pequeño y nos asegura que 4√3 lo es
64, es el segundo más pequeño y nos asegura que √2 lo es
256, es el tercero más pequeño(o el más grande) y nos asegura que 3√4 lo es
SOLUCIÓN: 4√3 < √2 < 3√4
El 2.a) lo tienes mal resuelto, se hace así:
|x-4| ≤ 2
Estudiamos dos intervalos, ya que la teoría nos dice que si |f(x)|≤a, entonces f(x)≤a y f(x)≥-a
Por lo tanto:
Si |x-4| ≤ 2entonces (*) x-4 ≤ 2 y (**) x-4 ≥ -2
(*)x-4 ≤ 2 ----------> x≤ 6
(**)x-4 ≥ -2 --------> x≥ 2
COMBINANDO LOS RANGOS (*) Y (**) OBTENEMOS LA SOLUCIÓN: 2≤ x ≤6
En el ejercicio 3 el proceso del compás, que entiendo que utilizaste para realizarlo es el correcto...no tanto la resolución, te dicen que: tienes un cuadrado con √3 cm de lado, y te preguntan el valor de la diagonal
Si trazas una diagonal en el cuadrado quedará un triángulo rectángulo, con lado1= √3 cm, lado2= √3 cm, diagonal=d
Aplicando el teorema de Pitágoras obtendremos:
(√3)2+ (√3)2 =d2
d2= 3+3
d= √6 cm
El ejercicio 4 no lo veo en tu resolución, ahí te va:
log24= log(23*3)= log23+log3= 3log2+log3
log4/3= log4 - log3= log22 - log3= 2log2-log3
log∛6= log(6)1/3=1/3(log6)= 1/3(log2*3)= 1/3(log2+log3)= (log2)/3 + (log3)/3
-----------------------------------------------------------------------------------------------------
En el ejercicio 5, nos preguntan la presión a 10 km de altura si P=0.9k
Sustituimos k por 10 y nos queda: 0.348678 atmósferas será P con k=10
(observa que a nivel del mar sería 1 atmósfera (0.90), a 1.000 metros 0.9 atmósferas (0.91)....decreciendo a medida que incrementamos la altura)
El ejercicio 1) lo planteas y resuelves bien, pero fallas en la respuesta de cuál es mejor aproximación: para saberlo tienes que comparar los errores relativos y el que sea menor, será mejor aproximación
ErrorrelativoTruncamiento= 1.996*10-3
ErrorrelativoRedondeo= 1.05*10-3
Como 1.05*10-3< 1.996*10-3 concluimos que "por redondeo" obtenemos una mejor aproximación en este caso.
En el ejercicio 7): los apartados a) y b) están muy bien hechos
El ejercicio 8.a) lo tienes aquí resuelto: https://es.symbolab.com/solver/step-by-step/%5Cleft(%5Csqrt%7B3%7D-i%5Cright)%5E%7B5%7D
el 8.b) aquí: https://es.symbolab.com/solver/step-by-step/%5Cfrac%7Bi%5E%7B7%7D-%5Cfrac%7B1%7D%7Bi%5E%7B7%7D%7D%7D%7B2i%7D
FALTA QUE EXPLIQUE SI QUIERE ALGÚN PROFE EL APARTADO 2) DEL EJERCICIO 6 (coordenadas polares)
Espero que te haya sido útil
Es un ejercicio de matrices A y B ya hice mi A cuadrada y mi B cuadrada pero no se que significa el 2 y el 5 [2(A^2·B^2-B^3·A)]5A^3
Porfis ayuda no se que hacer por el 2 y el 5
Una vez obtengas la matríz D=A^2·B^2-B^3·A tendrás que multiplicar por 2 cada elemento de la matríz D (producto de "k", en este caso k=2 por un vector) y obtendrás la matríz E=2(A^2·B^2-B^3·A)
De igual manera haremos el producto de k*matríz E, con k=5, y obtendremos F= 5 [2(A^2·B^2-B^3·A)]
Échale un vistazo al último apartado: http://www.vitutor.com/geo/vec/b_2.html
alguien me podría ayudar a cómo saber bien , hacer los planteamientos de los problemas de sistemas de ecuaciones , gracias
Hola :)
El dominio, continuidad y derivabilidad de esta función :
xLn2x sería: R - {0}?

Observa que tienes una función cuya expresión es:
f(x) = x*ln2x = x*(lnx)2, cuyo dominio es: D = (0,+∞), recuerda que lnx está definida para valores de x que sean estrictamente positivos.
Luego, pasamos a la función derivada primera, cuya expresión es:
f ' (x) = 1*ln2x + x*2*lnx*(1/x) = ln2x + 2*lnx, cuyo dominio es igual al dominio de la función.
Espero haberte ayudado.

a) Observa que si evalúas para el instante inicial (t = 0) tienes: N(0) = C*ek*0 = C*e0 = C*1 = C,
luego, tienes que la constante C corresponde al número de bacterias al comenzar el experimento.
b) Como ya hemos visto, C (cantidad inicial de bacterias) es positiva, y veamos cómo varía la cantidad de bacterias por medio de la derivada primera:
N ' (t) = C*ekt*k = k*C*ekt,
observa que el factor C es positivo, el factor exponencial también es positivo, por lo que el factor k debe ser negativo, para que la función derivada primera tome valores negativos, lo que indica que la cantidad de bacterias disminuye a medida que transcurre el tiempo.
c) Planteamos:
N(4) = (1/16)*N(0), sustituimos y queda (recuerda que N(0) = C como ya hemos visto):
C*ek*4 = (1/16)*C, multiplicamos cor 1/C en ambos miembros (recuerda que C no puede valer cero, ya que es la cantidad inicial de bacterias):
ek*4 = 1/16, componemos con la función inversa de la función exponencial natural en ambos miembros y queda:
k*4 = ln(1/16), hacemos pasaje de factor como divisor y queda:
k = ln(1/16) / 4 ≅ -0,6931.
Espero haberte ayudado.
Hola, hoy me he puesto a repasar ejercicios de las hojas de clase y me
he encontrado este que no se ni como empezarlo, cualquier ayuda se
agradece, gracias! 

Para determinar los extremos absolutos, primero debes elegir una variable, y poner las otras dos en función de esta. Una vez hecho esto y substituido, debes derivar la función y igualarla a cero para hallar las soluciones de la variable. Estos puntos serán los candidatos a extremos absolutos (tienes que reservarte estos números).
Una vez reservados, tienes que volver a derivar esta primera derivada y sustituir la "x" (por poner un ejemplo de variable) por los números reservados anteriormente, si el resultado es positivo será un mínimo y si es negativo será un máximo.
Espero haber sido de ayuda!
Besos!

Vamos con orientaciones.
1°) Observa que la función f es diferenciable en R3, y que sus derivadas parciales quedan expresadas: fx = 4x - y, fy = 2y - x, fz = 2z,
y para investigar la existencia de puntos críticos en el interior del sólido M, planteamos la condición de punto estacionario para una función diferenciable, por lo que igualamos a cero a cada una de las derivadas parciales y queda el sistema de ecuaciones:
4x - y = 0
2y - x = 0
2z = 0
cuya solución conduce al punto: P1(0,0,0) que no pertenece a la región interior del sólido M (observa que pertenece a su frontera), por lo que tenemos que la función no presenta puntos críticos en el interior del la región sólida M.
2°) Investigamos la existencia de puntos críticos en la sección de frontera semielíptica (sin considerar su borde, que es su intersección con el plano coordenado XY), y observa que la podemos considerar como una superficie de nivel de la función cuya expresión es:
g(x,y,z) = x2/2 + y2/4 + z2/8, que es diferenciable en R3, y cuyas derivadas parciales quedan expresadas: gx = x, gy = y/2,, gz = z/4,
luego aplicamos el método de los Multiplicadores de Lagrange con una restricción (indicamos con a al multiplicador) y queda el sistema de ecuaciones:
4x - y = ax
2y - x = ay/2
2z = az/4
x2/2 + y2/4 + z2/8 = 1
queda para que resuelvas el sistema y determines cuáles son los puntos críticos (observa que la tercera coordenada de los puntos debe ser estrictamente positiva).
3°) Investigamos la existencia de puntos críticos en la sección de frontera plana (sin considerar su borde, que es su intersección con el elipsoide), y observa que la podemos considerar como una superficie de nivel de la función cuya expresión es:
h(x,y,z) = z, que es diferenciable en R3, y cuyas derivadas parciales quedan expresadas: gx = 0, gy = 0,, gz = 1,
luego aplicamos el método de los Multiplicadores de Lagrange con una restricción (indicamos con b al multiplicador) y queda el sistema de ecuaciones:
4x - y = 0
2y - x = 0
2z = b
z = 0
queda para que resuelvas el sistema, y verás que el punto crítico es el origen de coordenadas.
4°) Investigamos la existencia de puntos críticos en la arista de la frontera (observa que es la intersección del elipsoide con el plano coordenado XY),
por lo que aplicamos el método de los Multiplicadores de Lagrange con dos restricciones (indicamos con c y d a los multiplicadores), y queda el sistema de ecuaciones:
4x - y = cx
2y - x = cy/2
2z = cz/4 + d
x2/2 + y2/4 + z2/8 = 1
z = 0
queda para que resuelvas el sistema y determines cuáles son los puntos críticos (observa que la tercera coordenada de los puntos críticos debe ser igual a cero).
Luego, queda que evalúes en la función a cada uno de los puntos críticos que hayas encontrado,y verás cuáles de ellos serán máximos absolutos y cuáles serán mínimos absolutos.
Debes tener cuidado en la resolución de los sistemas de ecuaciones. Haz el intento y, si te es preciso, no dudes en volver a consultar.
Espero haberte ayudado.
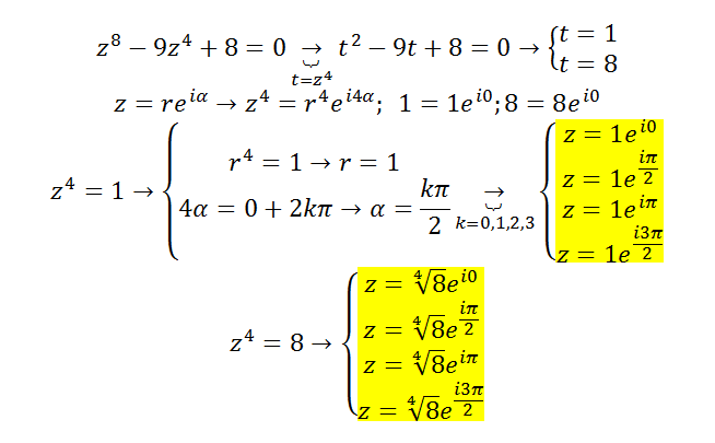
Hola, perdonad las molestias. Me pueden ayudar con un ejercicio de numero complejos?
- Resulve expresando la solución en forma polar la siguiente ecuación:
z^8-9z^4+8=0

Observa que tienes una ecuación polinómica cuadrática de grado 8, por lo que tenemos ocho soluciones de acuerdo con el Teorema Fundamental.
En lo posible, tratamos de factorizar la ecuación, y para ello puedes plantear la sustitución: w = z4, sustituyes y queda:
w2 - 9w + 8 = 0, que es una ecuación polinómica cuadrática cuyas soluciones son: w1 = 8 y w2 = 1.
Luego, factorizamos la ecuación y queda:
(w - 8)*(w - 1) = 0, sustituimos w y queda:
(z4 - 8)*(z4 - 1) = 0, factorizamos las diferencias de cuadrados y queda:
( z2 + √(8) )*( z2 - √(8) )*( z2 + 1)*( z2 - 1) = 0,
luego, por anulación de un producto, tenemos cuatro opciones:
1)
z2 + √(8) = 0, hacemos pasaje de término y queda:
z2 = - √(8), hacemos pasaje de potencia como raíz, resolvemos y quedan dos soluciones: z1 = -4√(8)*i, z2 = 4√(8)*i;
2)
z2 = √(8), hacemos pasaje de potencia como raíz, resolvemos y quedan dos soluciones: z3 = -4√(8), z4 = 4√(8);
3)
z2 + 1 = 0, hacemos pasaje de término y queda:
z2 = - 1, hacemos pasaje de potencia como raíz, resolvemos y quedan dos soluciones: z5 = - i, z6 = i;
4)
z2 - 1 = 0, hacemos pasaje de término y queda:
z2 = 1, hacemos pasaje de potencia como raíz, resolvemos y quedan dos soluciones: z7 = - 1, z8 = 1.
Espero haberte ayudado.