
Ejercicio 2.
Indicamos a por alfa.
Tienes que a pertenece al segundo cuadrante, por lo que tienes: sena = 2/5 > 0, cosa < 0 y tana < 0.
Planteamos la identidad fundamental:
sen2a + cos2a = 1, reemplazamos:
(2/5)2 + cos2a = 1, resolvemos el primer término:
4/25 + cos2a = 1, hacemos pasaje de término:
cos2a = 1 - 4/25, resolvemos el segundo miembro:
cos2a = 21/25, hacemos pasaje de potencia como raíz (recuerda que el coseno es negativo para ángulos del segundo cuadrante):
cosa = - √(21/25), distribuimos la raíz:
cosa = - √(21)/5.
Recuerda también: sen180° = 0, cos180° = - 1, sen270° = -1, cos270° = 0.
a) Planteamos:
cos(180° - a) = aplicamos la identidad del coseno de la resta de dos ángulos:
= cos180°*cosa + sen180°*sena = reemplazamos valores:
= - 1*cosa + 0*sena = resolvemos términos:
= - cosa + 0 = cancelamos el término nulo:
= - cosa = - (- √(21)/5 = √(21)/5.
b) Planteamos:
1) sen(270° + a) = aplicamos la identidad del seno de la suma de dos ángulos:
= sen270°*cosa + cos270°*sena = reemplazamos valores:
= - 1*cosa + 0* sena = resolvemos términos:
= - cosa + 0 = cancelamos el término nulo.
= - cosa = - (- √(21)/5 = √(21)/5 (1).
2) cos(270° + a) = aplicamos la identidad trigonométrica del coseno de la suma de dos ángulos:
= cos270°*cosa - sen270°*sena = reemplazamos valores:
= 0*cosa - (-1)*sena = resolvemos términos:
= 0 + sena = cancelamos el término nulo:
= sena = 2/5 (2).
3) tan(270° + a) = aplicamos la identidad trigonométrica para la tangente:
= sen(270° + a) / cos(270° + a) = reemplazamos valores, a partir de las igualdades señaladas (1) (2):
= ( √(21)/5 ) / ( 2/5) = resolvemos:
= √(21)/2.
c) Planteamos:
1) cos(a + 180°) = aplicamos la identidad trigonométrica del coseno de la suma de dos ángulos:
= cosa*cos180° - sena*sen180° = reemplazamos valores:
= cosa*(- 1) - sena*0 = resolvemos términos:
= - cosa - 0 = cancelamos el término nulo:
= - cosa = - (- √(21)/5 = √(21)/5 (3).
2) sen(a + 180°) = aplicamos la identidad trigonométrica del seno de la suma de dos ángulos:
= sena*cos180° + cosa*sen180° = reemplazamos valores:
= sena*( -1) + cosa*0 = resolvemos términos:
= - sena + 0 = cancelamos el término nulo:
= - sena = - 2/5 ((4).
3) cotg(a + 180°) = aplicamos la identidad trigonométrica de la cotangente:
= cos(a + 180°) / sen(a + 180°) = reemplazamos valores a partir de las igualdades señaladas (3) (4):
= √(21)/5 / (- 2/5) = resolvemos signos y simplificamos:
= - √(21)/2.
Espero haberte ayudado.
Hola david no acabo de entender estos dos problemas llevo horas intentadolo pero nose como se hacen son estos:
Les edats de quatre amics sumen 138.Troba l'edat de cada un d'ells sabent que cada un es porta 3 anys de diferència amb el següent
I este es el otro problema:
Dos germans es porten una diferència de 3 anys , i dintre de 4 anys les seves edats sumades faran 33.Calcula-les
me podias explicar que tengo que hacer en cada problema porfavor es que mañana tengo examen de mates de equaciones i los problemas de equaciones se me da fatal.
(1*)- La edad de cuatro amigos suman 138 se podría formalizar matemáticamente así:
w+x+y+z=138
(2*)- El mayor (en nuestro caso le llamaremos w), le saca 3 años al siguiente, como el siguiente (x) le saca 3 años al siguiente más joven (y) concluiremos que w le saca 6 años a "y", e igual con z. Lo representaríamos así:
w=w
w=3+x-------> x=w-3
w=6+y-------> y=w-6
w=9+z-------> z=w-9
- Sustituimos (2*) en uno y obtenemos esta sencilla ecuación:
w+(w-3)+(w-6)+(w-9)=138
Y la resolvemos:
4w=156
w=39
Por último sustituimos w en: x, y, z para obtener la solución:
x=w-3----> x=39-3=36=x
y=w-6=39-6=33=y
z=w-9=30=z
UN AMIGO TIENE 39, EL OTRO 36, EL SIGUIENTE 33 Y EL MENOR 30 AÑOS
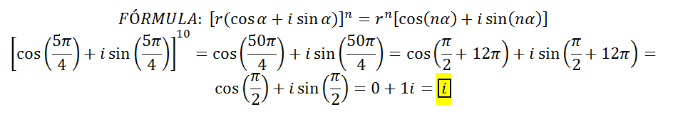
Buenas tardes, Me podríais ayudar con 2 ejercicios de numero complejos?
1. z^6-64=0
2. [cos(5*π/4)+ i*sen(5*π/4)]^10
Muchas gracias y perdón por las molestias.

Vamos con el primer ejercicio:
Observa que tienes una ecuación polinómica de grado seis, por lo que tiene seis raíces según el Teorema Fundamental
Luego, pasamos al ejercicio. Tienes la ecuación:
z6 - 64 = 0, observa que se trata de una diferencia de cuadrados, factorizamos y queda:
(z3 + 8)*(z3 - 8) = 0, luego, por anulación de un producto, tenemos dos opciones:
1)
z3 + 8 = 0, hacemos pasaje de término y queda:
z3 = - 8, expresamos el número complejo real negativo en forma polar y queda:
z3 = [8]π, hacemos pasaje de potencia como raíz y queda:
z = ∛([8]π), aplicamos la Fórmua de De Moivre para las raíces y queda:
z = [∛(8)](π+2kπ)/3, con k = 0, 1, 2,
resolvemos y tenemos tres opciones:
z0 = [2]π/3,
z1 = [2]π,
z2 = [2]5π/3.
2)
z3 - 8 = 0, hacemos pasaje de término y queda:
z3 = 8, expresamos el número complejo real positivo en forma polar y queda:
z3 = [8]0, hacemos pasaje de potencia como raíz y queda:
z = ∛([8]0), aplicamos la Fórmua de De Moivre para las raíces y queda:
z = [∛(8)](0+2kπ)/3, con k = 0, 1, 2,
resolvemos y tenemos tres opciones:
z4 = [2]0,
z5 = [2]2π/3,
z6 = [2]4π/3.
Observa que las raíces z1 y z4 son complejas reales, y que las otra cuatro raíces son complejas propiamente dichas.
Espero haberte ayudado.
alguien me puede decir como se halla en el espacio la recta perpendicular a la recta (x/2)=((y+1/-1))=(z/3) y que pasa por el punto(1,0,1)?

1) Halla el plano perpendicular a la recta que pasa por el punto (1,0,1)... El vector normal de tu plano sería el de la recta (2,-1,3)...
2) Halla el punto de interseccion entre tu recta y el plano obtenido. Le llamaremos M.
3) Halla la recta que para por el punto (1,0,1) y el punto M obtenido...
Es muy parecido a este video..
Buenas tardes, podría alguien ayudarme con este ejercicio de vectores?
Determina la ecuación de la recta que pasa por el punto (1,1,1) es paralela al plano: x-y+z-3=0 y corta a la recta r que es x=1 e y=3
Muchas gracias de antemano
Aplica Sarrus en A y B: http://www.unicoos.com/video/matematicas/2-bachiller/determinantes/calculo-de-determinantes/determinante-3x3-regla-de-sarrus
Eleva el resultado escalar de A y B al cuadrado y al cubo y sustituye donde proceda
Efectúa los productos de k como te dije en el mensaje anterior, multiplica lo de dentro de los corchetes y el 5A3 y obtendrás el resultado
Si sigues dudando, pregunta