hola buenas tardes, me podrian ayudar con el primero de estos ejercicios? y si es posible una breve explicacion de como se resuelven porque desconozco totalmente![]()
Hola buenas tardes,
deberías partir de las matrices E1... con coeficientes desconocidos. Después de multiplicar por la matriz indicada igualar el valor de su posición con el de la matriz solución. Así pues, se forma un sistema de ecuaciones con el qué puedes hallar todos los valores de la matriz desconocida.
Saludos,
Roger Monreal

a) Observa que si partes desde la matriz A debes permutar la primera fila con la tercera fila y obtienes la matriz B.
Luego, para obtener la matriz elemental correspondiente, debes partir de la matriz identidad de orden 3 y permutas su primera fila con su tercera fila y queda:
E1 =
0 0 1
0 1 0
1 0 0
b) Observa que si partes de la matriz B debes permutar la primera fila con la tercera fila y obtienes la matriz A.
Luego, la matriz elemental es la misma del inciso anterior y tienes:
E2 = E1
c) Observa que si partes de la matriz A, a su tercera fila debes sumarle el doble de su primera fila y obtienes la matriz C.
Luego, para obtener la matriz elemental correspondiente, debes partir de la matriz identidad de orden 3 y a su tercera fila le sumas el doble de su primera fila y queda:
E3 =
1 0 0
0 1 0
2 0 1
d) Observa que si partes de la matriz C, a su tercera fila debes restarle el doble de su primera fila y obtienes la matriz A.
Luego, para obtener la matriz elemental correspondiente, debes partir de la matriz identidad de orden 3 y a su tercera fila le restas el doble de su primera fila y queda:
E4 =
1 0 0
0 1 0
-2 0 1
Espero haberte ayudado.
Hola de nuevo disculpen la continua ayuda que solicito con otro problema, es respecto a la region sombreada entre curvas.
¿Como se procede ahí para identificar la relación correcta? De esta forma me confundo mucho, se ir del modo inverso, es decir me dan lss inecuaciones y hallo la región sombreada.
Nuevamente gracias a ese unicoo. Gracias mil gracias. 🙌 Saludos....
Hola buen día equipo unicoos.
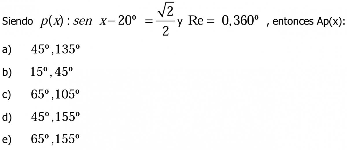
Alguien ,e puede ayudar en el siguiente exercise , x fa ...
Tengo una duda, de antemano se que p(x) es el predicado, pero ¿Qué es Ap(x)?¿Qué significa?
Gracias de antemano

Me encantaría ayudarte, pero no respondo dudas universitarias que no tengan que ver específicamente con los videos que ya he grabado como excepcion. O de otras asignaturas que no sean matemáticas, física y química. Lo siento de corazón… Espero lo entiendas
Ojalá algun unicoo universitario se anime a ayudarte (de hecho lo ideal es que todos los universitarios intentarais ayudaros los unos a los otros)