Foro de preguntas y respuestas de Matemáticas

logo beUnicoos
Los foros de unicoos se han unificado en nuestra nueva plataforma beUnicoos. Para dejar nuevas preguntas deberás hacerlo allí, donde además podrás encontrar nuevas asignaturas y herramientas para ayudarte más con tus estudios.

  • icon

    JUAN AMPIE
    el 21/1/17

    Hola me podrian ayudar con este problema 3√2X-3 + 2√7-X = 11

    La raiz abarca a 2X-3  y la otra raiz abarca  a 7-X


    replythumb_up0 voto/sflag
    icon

    Antonius Benedictus
    el 21/1/17


    thumb_up1 voto/sflag
    icon

    Axel Morales Piñón.
    el 21/1/17


    thumb_up2 voto/sflag
    icon

    JUAN AMPIE
    el 21/1/17

    Muchas gracias

    thumb_up0 voto/sflag
    icon

    JUAN AMPIE
    el 21/1/17

    Para el primero : Cuando dividio entre 22 cuando es eso aplicable o que ley se utiliza por favor

    para el segundo : por que el (10-7X/6)2 se convierte en (60-7X)2 / 36 ?

    thumb_up0 voto/sflag
    icon

    Antonius Benedictus
    el 21/1/17

    Si multiplicamos (o dividimos) los dos miembros de una ecuación por un mismo número no nulo, obtenemos una ecuación equivalente a la ecuación dada.

    thumb_up1 voto/sflag
    icon

    JUAN AMPIE
    el 21/1/17

    podia haber trasaladado tambien ha 3√2X-3   o solo se podia con 2√7-X  ?

    thumb_up0 voto/sflag
    icon

    Guillem De La Calle Vicente
    el 22/1/17

    También lo podías hacer.

    thumb_up0 voto/sflag
  • icon

    anaespo
    el 21/1/17

    ¿cómo se demuestra esta igualdad?

    replythumb_up0 voto/sflag
    icon

    Antonius Benedictus
    el 21/1/17

    La igualdad es falsa:


    thumb_up0 voto/sflag
  • icon

    Lluna
    el 21/1/17

    Tengo que resolver este problema, pero no se como plantear el sistema de equaciones.¿ Me podriais ayudar? MUCHAS GRACIAS!!!

    - Gemma ha orado dinero para las rebajas i compra unos zapatos y un libro que lee hace falta. Primero se gasta en los zapatos la mitat de lo que tenia mas 3 euros, y el libro le cuesta la tercera parte de lo que tenia. Finalmente, le sobran 26 euros. Cuanto dinero se a llevado Gemma a las rebajas?

    replythumb_up0 voto/sflag
    icon

    Matías Ignacio Loyola Galdames
    el 21/1/17

    Ojalá entiendas, saludos!


    thumb_up1 voto/sflag
    icon

    Gabriel
    el 21/1/17

    Hola Lluna, a ver si te podemos ayudar.

    Digamos que lo que tenías es "x"

    Por lo tengo, lo que gasta en los zapatos es x/2+3.

    Y lo qeu se gasta en el libro es x/3.

    Por lo tanto tenemos x-(x/2+3+x/3)=26 € que le sobran.

    mcm(2,3)=6;

    6x/6-(3x/6+18/6+2x/6)=138/6

    Quitamos el denominador común (simplificamos)

    6x-(3x+18+2x)=138

    6x-3x-18-2x=138

    6x-3x-2x=138+18

    x=156€

    thumb_up0 voto/sflag
    icon

    Antonius Benedictus
    el 21/1/17


    thumb_up2 voto/sflag
  • icon

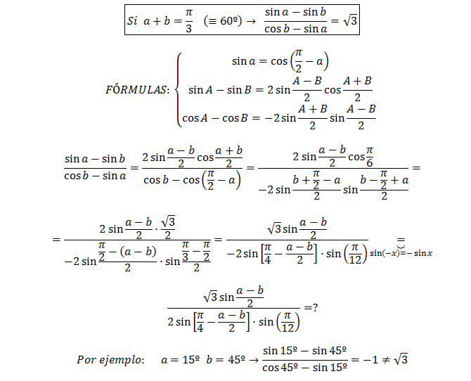
    anaespo
    el 21/1/17

    ¿cómo se  puede comprobar esta igualdad? 

    (sen α - sen β)/(cos β - sen α)=√3               si   (α + β) =60grados

    replythumb_up0 voto/sflag
    icon

    Antonius Benedictus
    el 21/1/17

    Por favor, foto del enunciado original.


    thumb_up0 voto/sflag
    icon

    Matías Ignacio Loyola Galdames
    el 22/1/17

    Está difícil, solo se me ocurrió hacer esto por si te sirve de algo.



    thumb_up0 voto/sflag
  • icon

    Marc
    el 21/1/17

    Hola, me llamo Marc i mi pregunta es, si tengo que comenzar en la universidad y hace 20 años que no hago mates ni física, por donde me recomendarias comenzar.


    replythumb_up1 voto/sflag
    icon

    JUAN AMPIE
    el 21/1/17

    bueno me estan dando matematica basica

    y tambien pre calculo tal vez esa informacion te ayude


    thumb_up0 voto/sflag
    icon

    JUAN AMPIE
    el 21/1/17

    Tambien existe una pagina llamada khan academy es muy buena por que te dan bastantes ejercicios


    thumb_up0 voto/sflag
  • icon

    Lau
    el 21/1/17

    Hola, necesito ayuda con este limite:  limx→0(Sen(x)√(1-cos(x)))/xSen(2x)    

    El sen(x)/x seria un limite notable y me quedaria solo limx→0√(1-cos(x))/Sen(2x)   el cual podria multiplicar y dividir por 2x para que me quede un limite notable y luego tendria  limx→0 (√(1-cos(x))/2x)2  elevado al cuadrado. Pero mi duda es: ¿Se podria elevar al cuadrado?

    replythumb_up0 voto/sflag
    icon

    Antonius Benedictus
    el 21/1/17

    No se puede.


    thumb_up0 voto/sflag
  • icon

    Lluna
    el 21/1/17

  • icon

    Amparo
    el 21/1/17

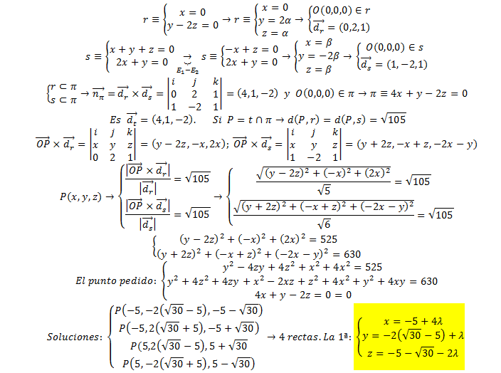
    Buenas tardes, podría ayudarme alguien con un problema en el que se me he estancado?

    El problema es de vectores y dice lo siguiente:

    Calcula la ecuación de la recta t perpendicular al plano formado por las rectas r: x=0 , y=2z y la recta s: x+y+z=0, 2x+y=0 y tal que la distancia de r a t sea igual a la distancia de s a t e igual a raíz de105.

    Yo de momento he conseguido el plano formado por r y s que es: 4x+y-2z=0 por tanto ya se que como la recta tiene que ser perpendicular a dicho plano el vector normal del plano es el vector de mi recta t, pero no se como hallar un punto de la recta. He intentado por la formulas de distancia entre dos rectas d(r,t)=d(s,t)=raíz 105, pero me lío y no saco nada.

    Muchas gracias de antemano.

    replythumb_up0 voto/sflag
    icon

    Antonius Benedictus
    el 21/1/17


    thumb_up2 voto/sflag
  • icon

    Carlos Martínez
    el 21/1/17

    Hola,

    Sabemos que un determinado polinomio de grado 3 (f(x)=ax^3+bx^2+cx+d) tiene por recta tangente en  x=0 la recta y=9x+1. Que tiene u máximo en x=1, y un punto de inflexión en x=2. Identificar el polinomio en cuestión.

    replythumb_up0 voto/sflag

    Usuario eliminado
    el 21/1/17

    Hola buenas tardes,


    para resolver este problema debes tener claro el significado de las derivadas de una función f(x). La primera derivada nos informa del crecimiento y decrecimiento de la función (cuando f'(x)=0 hay un máximo, cuando f'(x)>0 crece, cuando f'(x)<0 decrece). La segunda derivada nos da información sobre la curvatura de la función (f''(x)=0 tenemos un punto de inflexión). Además, te añade una condición con la recta tangente.


    Tiene un máximo en x=1 ---> f'(1)=0 ---> 3a + 2b + c = 0

    Tiene un punto de inflexión en x=2 ---> f''(2) = 0 ---> 12a + 2b = 0

    Tiene por recta tangente en  x=0 la recta y=9x+1 ---> f'(0) = 9 ---> c = 9

    Pasa por el punto x=0 ---> f(0) = y(0) ---> d = 1


    Así pues, tienes un sistema de ecuación que te permite determinar los parámetros a, b y c.


    Solución = x3 - 6x2 + 9x + 1


    Saludos, 

    Roger Monreal


    thumb_up2 voto/sflag
    icon

    Antonius Benedictus
    el 21/1/17


    thumb_up0 voto/sflag
  • icon

    laura
    el 21/1/17

    tienes algún video de formas cuadráticas??

    replythumb_up0 voto/sflag
    icon

    Ángel
    el 21/1/17

    Pon un ejemplo o un ejercicio concreto, así podremos ayudarte más fácilmente

    thumb_up0 voto/sflag