Me he atrancado en este ejercicio, ¿alguien me podría ayudar?
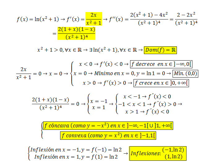
Halla el dominio de definición, los intervalos de crecimiento y de decrecimiento, los máximos y mínimos y los puntos de inflexión de la siguiente función.
f(x)= ln (x2+1)
Hola. Tengo que hacer la derivada de la funcion que muestro en la foto. Ademas, sus intervalos crecientes y decreci ntes, y sus maximos y minimos. He empezado el ejercicio y he hecho la derivada y he sacado x, perono se si esta bien. Me decis si voy bien y como sigo?

ÇLa derivada de x².e^(-x) se hace como la derivada de una multiplicacion (u'.v+u.v') y sería 2x.e^(-x) + x².e(-x).(-1) = 2x.e^(-x) -x².e(-x) = (2x-x²).e^(-x)
Al igualarlo a cero tendrás que resolver x²-2x=0 que te dara dos posibles puntos criticos (x=0 y x=2)
Te sugiero los videos de derivadas. Besos!
UNICOSSS.Quisiera que me ayudaran con esta derivada ya que no se si esta bien con ese resultado o deberia simplificar mas utilizando alguna identidad trigonometrica? ??

Tienes la ecuación:
- 0,06 = (0,065/x)1/10 - 1, hacemos pasaje de término y queda:
0,94 = (0,065/x)1/10, tomamos logaritmos en ambos miembros y queda:
log(0,94) = log[ (0,065/x)1/10 ], aplicamos la propiedad del logaritmo de una potencia y queda:
log(0,94) = (1/10)*log[ (0,065/x) ], multiplicamos por 10 en ambos miembros y queda:
10*log(0,94) = log[ (0,065/x) ], aplicamos la propiedad del logaritmo de una potencia en el primer miembro y queda:
log[ 0,9410 ] = log[ (0,065/x) ], por igualdad entre logaritmos igualamos argumentos y queda:
0,9410 = 0,065/x, hacemos pasaje de divisor como factor y queda:
0,9410 * x = 0,065, hacemos pasaje de factor como divisor y llegamos a:
x = 0,065 / 0,9410.
Puedes verificar la validez de la solución reemplazando en la ecuación del enunciado.
Espero haberte ayudado.
disculpen este problema tengo muchos problemas para plantearlo y por ende no puedo resolverlo:
si dos ciudades distantes 5km una de la otra, que estan situadas a un mismo lado de un rio rectilineo, acuerdan construir en la orilla una estacion electrica para el suministro de electricidad a las mismas.
si 2 y 3 km son las distancias al rio, determinar la menor longitud del cable electrico necesaria para unirlas con la estacion electrica.
gracias de antemano.

Indicamos con A y B a las ciudades, y C a la central eléctrica.
Observa el triángulo rectángulo APB, cuya hipotenusa mide |AB| = 5 Km, y cuyo cateto menor mide: |AP| = 1 Km, por lo que por medio de la relación pitagórica tenemos que su cateto mayor mide: |PB| = √(24) Km.
Observa que en el triángulo rectángulo AMC su cateto mayor mide: |AM| = 3 Km, su cateto menor mide: |MC| = x (observa que x debe estar estrictamente comprendido entre 0 y √(24) Km), y por medio de la relación pitagórica tenemos que su hipotenusa mide: |AC| = √(x2 + 32) = √(x2 + 9).
Observa que en el triángulo rectángulo BNC, su cateto derecho mide 2 Km, su cateto superior mide: √(24) - x, y por medio de la relación pitagórica tenemos que su hipotenusa mide: |BC| = √( 22 + (√(24) - x)2 ) = √( 4 + 24 - 2√(24)*x + x2 ) = √( 28 - 2√(24)*x + x2 ).
Luego, planteamos la longitud total del cable (L):
L = |AC| + |BC|, sustituimos y queda la expresión de la función cuyo dominio es: D = (0,5):
L(x) = √(x2 + 9) + √( 28 - 2√(24)*x + x2 ),
luego queda que plantees la expresión de la función derivada primera:
L ' (x) = x/√(x2 + 9) + (- √(24) + x)/√( 28 - 2√(24)*x + x2 ),
luego planteas la condición de punto crítico (posible máximo o posible mínimo):
L ' (x) = 0, sustituyes y queda:
x/√(x2 + 9) + (- √(24) + x)/√( 28 - 2√(24)*x + x2 ), haces pasaje de término y queda:
x/√(x2 + 9) = - (- √(24) + x)/√( 28 - 2√(24)*x + x2 ), haces pasajes de divisores como factores y queda:
x*√( 28 - 2√(24)*x + x2 ) = - (- √(24) + x)*√(x2 + 9), elevas al cuadrado en ambos miembros y queda:
x2 * ( 28 - 2√(24)*x + x2 ) = (- √(24) + x)2 * (x2 + 9),
distribuyes en el primer miembro, resuelves el binomio elevado al cuadrado en el segundo miembro y queda:
28x2 - 2√(24)*x3 + x4 = (24 - 2√(24)*x + x2)*(x2 + 9), distribuyes en el segundo miembro y queda:
28x2 - 2√(24)*x3 + x4 = 24x2 + 216 - 2√(24)*x3 - 18√(24)*x + x4 + 9x2, eliminamos los términos cancelados y queda:
28x2 = 24x2 + 216 - 18√(24)*x + 9x2, hacemos pasajes de términos, reducimos términos semejantes y queda:
- 5x2 + 18√(24)*x - 216 = 0, multiplicamos por -1 en todos los términos de la ecuación y queda:
5x2 - 18√(24)*x + 216 = 0, que es una ecuación polinómica cuadrática cuyas soluciones son:
1) x = ( 18*√(24) + √(3456) )/10 ≅ 14,6969 ∉ D, que no es válida para este problema (recuerda que x representa a una longitud menor que cinco Km);
2) x = ( 18*√(24) - √(3456) )/10 ≅ 2,9394 Km.
Espero haberte ayudado.

Debes tener en cuenta la sumatoria:
12 + 32 + 52 + ... + (2n - 1)2 = ∑(k=1,n) (2k - 1)2 = desarrollamos el argumento de la sumatoria:
= ∑(k=1,n) (4k2 - 4k + 1) = distribuimos la sumatoria entre los términos de su argumento:
= ∑(k=1,n) (4k2) - ∑(k=1,n) (4k) + ∑(k=1,n) (1) = extraemos factores constantes:
= 4*∑(k=1,n) (k2) - 4*∑(k=1,n) (k) + ∑(k=1,n) (1) = sustituimos las sumas (puedes demostrar la validez de las expresiones por inducción completa):
= 4*n*(n + 1)*(2n + 1)/6 - 4*n*(n + 1)/2 + n = simplificamos coeficientes:
= 2*n*(n + 1)*(2n + 1)/3 - 2*n*(n + 1) + n = extraemos factor común:
= n*[ 2*(n + 1)*(2n + 1)/3 - 2*(n + 1) + 1 ] = desarrollamos el agrupamiento:
= n*[ 4n2/3 + 2n/3 + 4n/3 + 2/3 - 2n - 2 + 1 ] = reducimos términos semejantes en el agrupamiento:
= n*[ 4n2 /3 + 1/3 ] = extraemos factor común fraccionario en el agrupamiento:
= (1/3)*n*(4n2 - 1) = factorizamos:
= (1/3)*n*(2n - 1)*(2n + 1).
Luego debes tener en cuenta el cociente:
( 12 + 32 + 52 + ... + (2n - 1)2 ) / 4n3 = sustituimos en el numerador:
= (1/3)*n*(2n - 1)*(2n + 1) / 4n3 =
resolvemos coeficientes y distribuimos factores del denominador entre los factores, y distribuimos el denominador en cada factor:
= (1/12)*1*(2 - 1/n)*(2 + 1/n) = resolvemos el producto de agrupamientos:
= (1/12)*(4 - 1/n2) = distribuimos:
= 1/3 - (1/12)*(1/n2).
Luego, pasamos al límite del enunciado (L), en el que planteamos su logaritmo natural (observa que aplicamos la propiedad del logaritmo de un límite):
ln(L) = Lím(n→+∞) 2n * ln( ( 12 + 32 + 52 + ... + (2n - 1)2 ) / 4n3 ), luego sustituimos y queda:
ln(L) = Lím(n→+∞) 2n * ln( 1/3 - (1/12)*(1/n2) ), aplicamos la propiedad del límite de un producto:
ln(L) = Lím(n→+∞) 2n * Lím(n→+∞) ln( 1/3 - (1/12)*(1/n2) ),
observa que el primer factor tiende a +infinito, y que el segundo factor tiende a ln(1/3) ≅-1,0986, por lo que tenemos:
ln(L) tiende a - infinito,
por lo tanto concluimos que el límite es igual a cero:
L = 0.
Espero haberte ayudado.