
Observa que la expresión del término general es:
an = nn/(2n)! .
Luego, observa que aquí es donde debes corregir, y que la expresión para el término siguiente general es:
an+1 = (n + 1)n+1 / ( 2(n + 1) )! = (n + 1)n+1 / (2n + 2)! = (n + 1)n*(n + 1) / (2n+2)*(2n+1)*(2n)!.
Luego, observa que el cociente entre las dos expresiones queda (simplificamos los factores (2n)!):
an+1/an = (n + 1)n*(n + 1) / nn*(2n + 2)*(2n +1) = [ (n + 1)n/nn ] * [ (n + 1) / (2n + 2)*(2n + 1) ] = [ 1 + 1/n ]n * [ (n + 1) / (4n2 + 6n + 2) ].
Luego, observa que cuando pasas al límite de la razón general para n tendiendo a +infinito queda:
Lím(n→+∞) | an+1/an | = Lím(n→+∞) [ 1 + 1/n ]n * [ (n + 1) / (4n2 + 6n + 2) ] =
= Lím(n→+∞) [ 1 + 1/n ]n * Lím(n→+∞) [ (n + 1) / (4n2 + 6n + 2) ] =
observa que el límite en el primer factor es trascendente e igual a e, y que puedes resolver el límite en el segundo factor como has visto en clase anteriormente:
= e*0 = 0 < 1,
por lo que concluimos que la serie de términos positivos del enunciado es convergente.
Espero haberte ayudado.

Observa bien las proposiciones presentes en la redacción de tu enunciado.
Llamamos v a la cantidad de dinero que tiene Valeria al inicio, y llamamos a a la cantidad de dinero que tiene Alicia al inicio.
Tienes:
"si Alicia le diera a Valeria $ 3, ambas tendrían igual cantidad de dinero", que podemos escribir en lenguaje algebraico: a - 3 = v + 3 (1),
"si Valeria le diera a Alicia $ 3, ésta tendría cuatro veces lo que quedaría a Valeria", que podemos escribir en lenguaje algebraico: a + 3 = 4*(v - 3) (2).
Luego, con las ecuaciones señaladas (1) (2) tienes el sistema de ecuaciones:
a - 3 = v + 3, haces pasaje de término, reduces términos numéricos y queda: a = v + 6
a + 3 = 4*(v - 3)
luego sustituyes la expresión remarcada en la segunda ecuación y queda:
v + 6 + 3 = 4*(v - 3), reduces términos semejantes en el primer miembro, distribuyes en el segundo miembro y queda:
v + 9 = 4v - 12, haces pasajes de términos, reduces términos semejantes y queda:
- 3v = - 21, haces pasaje de factor como divisor y queda: v = 7,
luego, reemplazas en la ecuación remarcada y queda: a = 13.
Espero haberte ayudado..
Hola buenas tardes me gustaría hacer una cuestión y que me la resolváis, sería la siguiente ecuación matrical ( imagen ejercicio 2 );
y mi pregunta es. A la hora de resolver la ecuación de A y de C que quedaría así (A - C )‾∧1 , haríamos cada inversa por su lado y después restarlas?

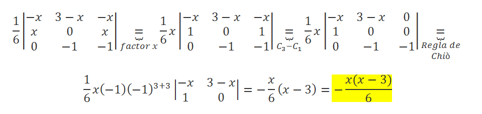
Has desarrollado correctamente el determinante (D), luego tienes:
(1/6)*D =
= (1/6)*[ (-x)*(x)*(-1) - (3 - x)*(x)*(-1) - (-x)*(x)*(-1) ] = resolvemos productos:
= (1/6)*[ x2 + 3x - x2 - x2 ] = cancelamos términos opuestos remarcados y queda:
= (1/6)*[ 3x - x2 ] = extraemos factor común en el agrupamiento y queda:
= (1/6)*x*[3 - x].
Espero haberte ayudado.
Buenas adjunto estas funciones en las que tengo que hayas sus respectivas primitivas, pero con las tres ultimas me pillo bastante. Si me pudiesen echar una mano seria de gran ayuda!
Hola, buenos días ,quisiera saber si me podrían ayudar con esta ecuación 10x^3-15x^2-300=0 , sabiendo que la solución está entre 3,69 y 3,70. Por favor, espero que me puedan ayudar porque lo he intentado resolver por ruffini, factorizando, derivando, buscando en tutoriales ... pero no me ha sido posible resolverla.
Gracias.
Aquí la tienes resuelta por ese método:
https://es.symbolab.com/solver/inequalities-calculator/10x%5E%7B3%7D-15x%5E%7B2%7D-300%3D0
Hallar la integral
∫e^(cos2x/2)+ln(csc2x-ctg2x)sen²xdx

Me encantaría ayudarte, pero no respondo dudas universitarias que no tengan que ver específicamente con los videos que ya he grabado como excepcion. O de otras asignaturas que no sean matemáticas, física y química. Lo siento de corazón… Espero lo entiendas
Ojalá algun unicoo universitario se anime a ayudarte (de hecho lo ideal es que todos los universitarios intentarais ayudaros los unos a los otros)
150 mujeres en el colegio: 160 cm de estatura promedio
500 alumnos - 150 mujeres= 350 varones en el colegio
Con los datos anteriores, obtenemos una ecuación mediante la media aritmética, que será igual a 167 cm
(150*160+350*x)/500= 167
Y resolvemos la ecuación:
150*160+350*x= 167*500
24000+350x= 83500
350x=59500
x=170 centímetros= 1.70 metros es la estatura promedio de los varones del colegio: B)