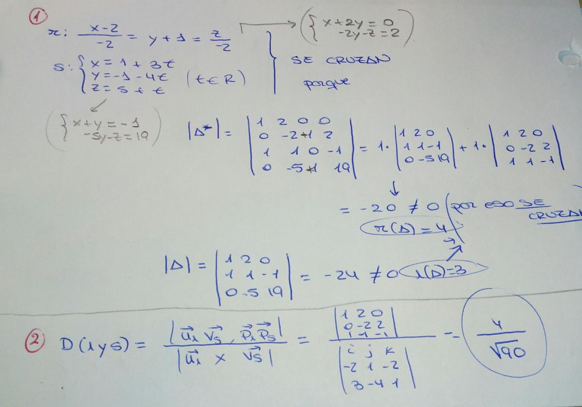
Buenas , alguien me ayuda a encontrar el fallo? esque he hecho este ejercicio pero no me dá bien la solucion y no se donde me he equivocado.
En el apartao 1 tenia que averiguar si las dos rectas se cruzan y en el apartado 2 la distancia entre la recta s y r.

Observa las ecuaciones cartesianas que obtuviste para la recta s. Si despejas el parámetro en sus ecuaciones cartesianas paramétircas, tienes:
(x - 1)/3 = t,
(y + 1)/(-4) = t,
z - 5 = t
luego, si igualas las dos primeras ecuaciones, queda:
(x - 1)/3 = (y + 1)/(-4), haces pasajes de divisores como factores y queda:
-4(x - 1) = 3(y + 1), distribuimos en ambos miembros y queda:
- 4x + 4 = 3y + 3, haces pasajes de términos y queda:
- 4x - 3y = -1, multiplicas en todos los términos de la ecuación por -1 y queda:
4x + 3y = 1;
luego, si igualas la segunda ecuación con la tercera, queda:
(y + 1)/(-4) = z - 5, haces pasaje de divisor como factor, distribuyes en el segundo miembro y queda:
y + 1 = - 4z + 20, haces pasajes de términos y queda:
y + 4z = 19.
Luego, puedes continuar con la resolución del ejercicio.
Espero haberte ayudado.

Observa que a partir del estudio de una función continua y derivable en todo su dominio, que seguramente has hecho en ejercicios anteriores, tienes las condiciones:
1) puntos críticos de f (posibles máximos o posibles mínimos): f ' (x) = 0, por lo tanto buscamos los cortes de la gráfica de f ' con el eje OX;
2) intervalos de crecimiento de f: f ' (x) > 0, por lo tanto buscamos los intervalos en que la gráfica de f ' se encuentra "por encima" del eje OX;
3) intervalos de decrecimiento de f: f ' (x) < 0, por lo tanto buscamos los intervalos en que la gráfica de f ' se encuentra "por debajo" del eje OX;
4) posibles puntos de inflexión de f: f ' ' (x) = 0, que equivale a decir que es un punto crítico de f ', por lo tanto buscamos máximos y mínmos en la gráfica de f ';
5) intervalos de concavidad hacia arriba de f: f ' ' (x) > 0, que equivale a decir que f ' (x) es creciente, por lo tanto buscamos intervalos de crecimiento en la gráfica de f ';
6) intervalos de concavidad hacia abajo de f: f ' ' (x) < 0, que equivale a decir que f ' (x) es decreciente, por lo tanto buscamos intervalos de decrecimiento en la gráfica de f ';
7) analizamos los extremos del dominio, que es un intervalo cerrado,
Luego, observas el gráfico de f ' y tienes:
1) Puntos críticos de f: x = 2, x = 4, x = 6, x = 8.
2) Intervalo de crecimiento de f: (2,4) u (6,8) u (8,9).
3) Intervalo de decrecimiento de f: (0,2) u (4,6).
Observa que la gráfica de f presenta:
mínimo en x = 2 (f pasa de decreciente a creciente),
máximo en x = 4 (f pasa de creciente a decreciente),
mínimo en x = 6 (f pasa de decreciente a creciente),
f no presenta extremo máximo ni extremo mínimo en x = 8.
4) Posibles puntos de inflexión: x = 1, x = 3, x = 5, x = 8.
5) Intervalo de concavidad hacia arriba de f: (1,3) u (5,7) u (8,9).
6) Intervalo de concavidad hacia abajo de f: (0,1) u (3,5) u (7,8).
Observa que la gráfica de f presenta inflexiones en x = 1, x = 3, = 5, x = 8, porque en todos ellos cambia su concavidad.
7) Observa que en el extremos izquierdo del dominio, x = 0, comienza un intervalo de decrecimiento, por lo que f presenta un máximo en x = 0,
y observa que en el extremos derecho del dominio, x = 9, finaliza un intervalo de crecimiento, por lo que f presenta un máximo en x = 9.
Queda para que hagas un esbozo de la gráfica de la función f.
Espero haberte ayudado.

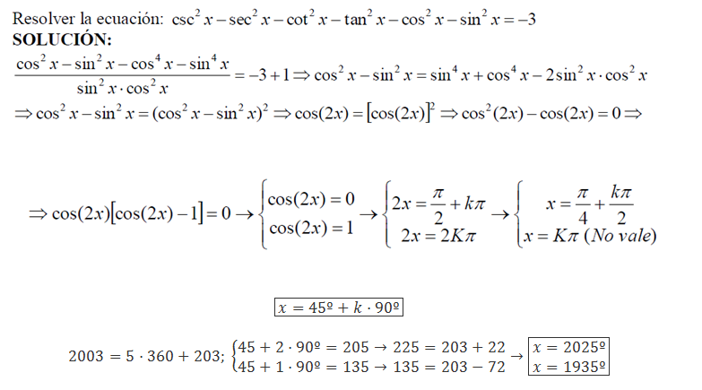
Recuerda las identidades trigonométricas: cosx = 1/secx, senx = 1/cosecx, 1/cotgx = tanx, sustituyes y la ecuación queda:
1/sen2x - 1/cos2x - 1/tan2x - tan2x - cos2x - sen2x = -3, observa que los términos remarcados suman -1, hacemos pasaje de término y queda:
1/sen2x - 1/cos2x - 1/tan2x - tan2x = -2, aplicamos las identidadse trigonométrica: 1/tan2x = cos2x/sen2x, y tanx = senx/cosx, sustituimos y queda:
1/sen2x - 1/cos2x - cos2x/sen2x - sen2x/cos2x = -2, agrupamos términos con denominadores iguales y queda:
(1/sen2x - cos2x/sen2x) - (1/cos2x + sen2x/cos2x) = -2, extraemos denominadores comunes en los agrupamientos y queda:
(1 - cos2x)/sen2x - (1 + sen2x)/cos2x = -2, aplicamos la identidad trigonométrica: 1 - cos2x = sen2x en el numerador del primer término, lo simplificamos y queda:
1 - (1 + sen2x)/cos2x = -2, hacemos pasaje de término y queda:
- (1 + sen2x)/cos2x = - 3, multiplicamos en ambos miembros por -1, hacemos pasaje de divisor como factor y queda:
1 + sen2x = 3cos2x, aplicamos la identidad trigonométrica remarcada y queda:
1 + 1 - cos2x = 3cos2x, hacemos pasajes de términos, reducimos términos semejantes y queda:
-4cos2x = -2, hacemos pasaje de factor como divisor y queda:
cos2x = 1/2, hacemos pasaje de potencia como raíz y quedan dos opciones:
1) cosx = 1/√(2), que corresponde a: x = 45° + 360°k, o a x = 225° + 360°k, con k ∈ Z;
2) cosx = -1/√(2), que corresponde a: x = 135° + 360°k, o a x = 315° + 360°k, con k ∈ Z.
Luego, veamos cuantos giros completos contiene el ángulo cuya medida es: α = 2003°, para ello efectuamos la división de 2003° por 360°, cuyo cociente es igual a 5 (cinco giros completos), y su resto es: 203°.
Luego, observa que 203° está comprendido entre 135° y 225°, por lo que planteamos:
135° < 203° < 225°, sumamos 1800° = 5*360° (cinco giros) en los tres miembros de la doble desigualdad y queda:
1935° < 2003° < 2025°
Luego, los valores remarcados aproximan por defecto y por exceso al ángulo cuya medida es α = 2003°.
Espero haberte ayudado.
Podes demostrarlo usando el teorema de Bolzano. Planteá un dominio en el cual esté definida la función y usá dos puntos que tengan signo opuesto, pensá que según Bolzano si cambia de signo existe al menos una raíz real. También podés plantear por el lado del gráfico de un polinomio cubico, pensá en la forma y en cuantas veces pasa por cero.

Observa que en el primer miembro de la ecuación tienes la función polinómica cuya expresión es: f(x) = -3 + 6x + 3x2 + 2x3,
cuyo dominio es el conjunto de los números reales;
observa también que cuando x tiende a - infinito la función tiende a - infinito, y que cuando x tiende a + infinito la función tiende a + infinito.
Luego planteamos la expresión de su función derivada primera: f ' (x) = 6 + 6x + 6x2,
luego, planteamos la condición de punto crítico (posible máximo o posible mínimo): f ' (x) = 0, sustituimos y queda:
6 + 6x + 6x2 = 0, que es una ecuación polinómica cuadrática que no tiene raíces, por lo que tenemos que la función es monótona (en este caso creciente), por lo que debe cortar al eje OX en un solo punto (observa que si lo cortase en más de uno, la gráfica debería tener máximos o mínimos, que no es este caso).
Luego, evaluamos para distintos valores de la variable x:
f(0) = - 3 < 0
f(1) = 8 > 0
luego, por el Teorema de Bolzano, tal como sugiere el colega Mauricio, tenemos que existe una raíz de la función f en el intervalo (0,1), cuya longitud es: L = 1 - 0 = 1.
Luego, dicha raíz es solución de la ecuación: f(x) = 0, que es la que tienes en el enunciado.
Espero haberte ayudado.

Comencemos por plantear las imágenes de los vectores canónicos del dominio (R3):
f(0,1,0) = <b,ab,b>
f(0,0,1) = <1,1,a>
Luego, observa que para que los tres vectores forman una base de R3 (cuya dimensión es 3), debemos tener que los tres vectores sean linealmente independientes, por lo que planteamos:
p<a,1,1> + q<b,ab,b> + r<1,1,a> = <0,0,0>, con p=0, q=0, r=0 como única solución.
Efectuamos los productos entre escalares y vectores, sumamos y queda:
< pa + qb + r , p + qab + r , p + qb + ra > = < 0 , 0 , 0 >
luego, por igualdad entre vectores, igualamos componente a componente y tenemos el sistema de ecuaciones (en el que buscaremos despejar p, q y r):
pa + qb + r = 0, de donde podemos despejar: r = - pa - qb (1) (observa que no tenemos restricciones para a o b en esta ecuación)
p + qab + r = 0
p + qb + ra = 0
sustituimos la expresión señalada (1) en las otras dos ecuaciones y queda:
p + qab - pa - qb = 0
p + qb + (- pa - qb)a = 0, aquí distribuimos el tercer término y queda: p + qb - pa2 - qba = 0
agrupamos y extraemos factores comunes p, q en ambas ecuaciones y queda:
p(1 - a) + q(ab - b) = 0
p(1 - a2) + q(b - ba) = 0
luego, recuerda que debemos obtener p = 0 y q = 0 como única solución, por lo que pasamos a estudiar la matriz del sistema:
A =
(1-a) (ab-b)
(1-a2) (b-ba)
que es una matriz cuadrada de orden 2, por lo que planteamos que su determinante debe ser distinto de cero, por lo que tenemos:
D = (1 - a)(b - ba) - (1-a2)(ab-b), factorizamos agrupamientos y queda:
D = (1 - a)b(1 - a) - (1 - a)(1 + a)(-b)(-a + 1), reducimos factores semejantes en los dos términos y queda:
D = b(1 - a)2 + b(1 + a)(1 - a)2, extraemos factores comunes y queda:
D = b(1 - a)2(1 + 1 + a), reducimos términos semejantes en el tercer factor y queda:
D = b(1 - a)2(2 + a);
luego, como debemos tener un sistema compatible determinado (recuerda la condición remarcada), planteamos:
D ≠ 0, sustituimos y queda:
b(1 - a)2(2 + a) ≠ 0, luego, por anulación de un producto tenemos:
b ≠ 0,
(1 - a)2≠0, en donde haces pasaje de potencia como raíz y queda: 1 - a ≠ 0, en donde haces pasaje de término y queda: 1 ≠ a,
2 + a ≠ 0, en donde haces pasaje de término y queda: a ≠ - 2.
Luego, si se cumplen las tres conciciones remarcadas, tenemos que los tres vectores imágenes de los vectores canónicos del dominio son linealmente independientes, y por lo tanto constituyen una base de R3, que es el conjunto imagen de la aplicación lineal f.
Observa que tenemos:
Dominio de la aplicación f: D = R3, cuya dimensión es: dim(D) = 3;
Imagen de la aplicación f: I = R3, cuya dimensión es: dim(I) = 3;
luego, si llamamos N al núcleo de la aplicación f, a partir de la relación entre las dimensiones:
dim(N) + dim(I) = dim(D), reemplazamos y queda:
dim(N) + 3 = 3, hacemos pasaje de término y queda:
dim(N) = 0,
por lo que tenemos que el Núcleo de la aplicación f es un conjunto unitario cuyo único elemento es el vector nulo de R3: N = { <0,0,0> }.
Espero haberte ayudado.
Hola,
∫√(4-x²)=

Puedes proponer la sustitución (cambio de variable):
x = 2senw, de donde tienes: dx = 2cosw dw,
también tienes: 4 - x2 = 4 - (2senw)2 = 4 - 4sen2w = 4(1 - sen2w) = 4cos2w = (2cosw)2,
y también tienes: x/2 = senw, en donde compones con la función inversa del seno y queda: arcsen(x/2) = w (1).
Luego sustituyes y la integral queda:
I = ∫ √(4 - x²) dx = sustituimos = ∫ √( (2cosw)2 )(2cosw dw) = ∫ 2cosw 2cosw dw = 4 ∫ cos2w dw =
aplicas la identidad trigonométrica: cos2w = ( 1 + cos(2w) )/2, sustituyes, extraes el divisor constante y queda:
= 4/2 ∫ ( 1 + cos(2w) ) dw = integras = 2 ( w + (1/2)sen(2w) ) + C = 2w + sen(2w) + C =
sustituyes la expresión remarcada y señalada (1), y queda:
= 2arcsen(x/2) + sen( 2arcsen(x/2) ) + C.
Esta es una forma de presentar la solución, y existen otras formas equivalentes como ocurre en varias integrales con sustituciones trigonométricas como la de este ejercicio.
Espero haberte ayudado.
Buenos dias , podeis ayudarme gracias
Actividad 5
Hallar la intersección de las circunferencias:
C1: x2+ y2-10x -2y + 6=0
C2: x2+ y2+ 2x- 14y + 30 = 0

Comencemos por plantear el sistema formado por las dos ecuaciones de las circunferencias:
x2 + y2 - 10x - 2y + 6 = 0
x2 + y2+ 2x - 14y + 30 = 0
luego, recuerda que en un sistema podemos mantener una de las ecuaciones y sustituir la otra por una combinación lineal entre ambas ecuaciones, por lo que mantenemos la segunda ecuación, sustituimos la primera por la resta entre ella y la segunda ecuación y queda:
- 12x + 12y - 24 = 0, dividimos en todos los términos de la ecuación por 12 y queda: - x + y - 2 = 0, de donde despejamos: y = x + 2 (1)
x2 + y2+ 2x - 14y + 30 = 0
luego sustituimos la expresión señalada (1) en la segunda ecuación y queda:
x2 + (x + 2)2 + 2x - 14(x + 2) + 30 = 0, desarrollamos los términos factorizados y queda:
x2 + x2 + 4x + 4 + 2x - 14x - 28 + 30 = 0, reducimos términos semejantes y queda:
2x2 - 8x + 6 = 0, dividimos por 2 en todos los términos de la ecuación y queda:
x2 - 4x + 3 = 0, que es una ecuación polinómica cuadrática cuyas soluciones son:
1) x = 1, que al reemplazar en la ecuación señalada (1) nos conduce a: y = 3, por lo que tenemos el punto de coordenadas: A(1,3);
2) x = 3, que al reemplazar en la ecuación señalada (1) nos conduce a: y = 5, por lo que tenemos el punto de coordenadas: B(3,5).
Luego, concluimos que las dos circunferencias se cortan en los puntos A y B.
Espero haberte ayudado.