Una ayuda con esto:
e(x-9)= √73

Puedes tomar logaritmos naturales en ambos miembros de la ecuación y queda:
ln(ex-9) = ln( √(73) ), resuelves la composición entre funciones inversas en el primer miembro, aplicas la propiedad del logaritmo de una raíz en el segundo miembro, y queda:
x - 9 = ln(73) / 2, haces pasaje de término y queda:
x = ln(73) /2 + 9 ≅ 11,1452.
Espero haberte ayudado.
David cuelga un video resolviendo un sistema de ecuaciones por el metodo de Rocche Forbenius.Gracias de antemano
Tarjeta de 2 dólares=x
Tarjeta de 5 dólares=y
Tarjeta de 10 dólares=z
"Al menos una tarjeta"---> Le regalará 1 tarjeta, 2 o 3
--> SI LE REGALA UNA TARJETA (3 OPCIONES)
Opciones:
*Le regala x
*Le regala y
*Le regala z
--> SI LE REGALA DOS TARJETAS (3 OPCIONES)
Opciones:
*Le regala x e y
*Le regala x y z
*Le regala z e y
--> SI LE REGALA TRES TARJETAS (1 OPCION)
Opciones:
*Le regala x, y, z
Hay 7 maneras diferentes
He supuesto que cuando le da las tarjetas es "todas juntas, a la vez"
Si hubiera un lapso de tiempo entre que le da una tarjeta y le da otra (cuando le da 2 tarjetas) habría que hacer una breve modificación:
--> SI LE REGALA DOS TARJETAS (6 OPCIONES)
Opciones:
*Le regala x e y
*Le regala x y z
*Le regala z e y
*Le regala y y x
*Le regala z y x
*Le regala z e y
Las otras opciones permanecen inalteradas
Hay 10 maneras diferentes
hola alguien me puede explicar la semejanza de 4ºESO? me he visto el video que hay pero no me resuelve las dudas que tengo, estoy con lo del teorema de tales.Gracias
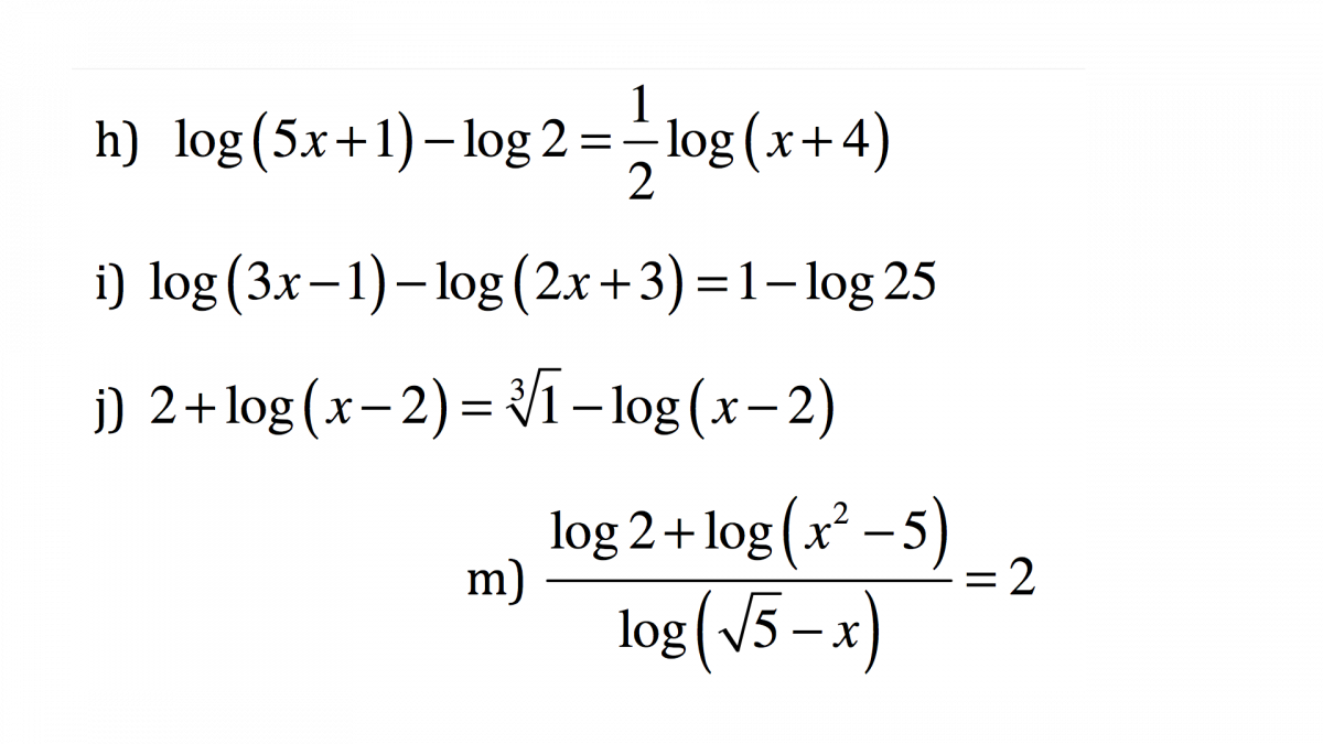
¿Qué procedimiento se utiliza para ecuaciones logarítmicas que no tienen la misma base?
http://www.unicoos.com/video/matematicas/4-eso/ecuaciones-y-sistemas/logaritmos/logaritmos-01
http://www.unicoos.com/video/matematicas/4-eso/ecuaciones-y-sistemas/logaritmos/logaritmos-02
http://www.unicoos.com/video/matematicas/4-eso/ecuaciones-y-sistemas/logaritmos/logaritmos-03
http://www.unicoos.com/video/matematicas/4-eso/ecuaciones-y-sistemas/logaritmos/logaritmos-04

Vamos con una ayuda para el primer ejercicio.
log(5x+1) - log(2) = (1/2)log(x+4),
aplicamos la propiedad del logaritmo de una división en el primer miembro, del logaritmo de una raíz en el segundo miembro, y queda:
log( (5x+1)/2 ) = log( √(x+4) ), luego, por igualdad entre logaritmos, igualamos los argumentos y queda:
(5x+1)/2 = √(x+4), hacemos pasaje de raíz como potencia y queda:
( (5x+1)/2 )2 = x + 4, distribuimos el exponente en el primer miembro y queda:
(5x + 1)2/4 = x + 4, hacemos pasaje de divisor como factor y queda:
(5x + 1)2 = 4(x + 4), desarrollamos el binomio elevado al cuadrado en el primer miembro, distribuimos en el segundo miembro, y queda:
25x2 + 10x + 1 = 4x + 16, hacemos pasajes de términos, reducimos términos semejantes, y queda:
25x2 + 6x - 15 = 0, observa que tenemos una ecuación polinómica cuadrática, aplicamos la fórmula resolvente y sus soluciones son:
1) x = (-6 - √(1536) )/50 ≅ -0,9038, observa que no es una solución válida, ya que para este valor el argumento del logaritmo del primer término es negativo;
2) x = (-6 + √(1536) )/50 ≅ 0,6638, observa que si es una solución válida para la ecuación, ya que no se indeterminan los argumentos de los logaritmos en los términos de la ecuación.
Queda para que hagas intentos con los demás ejercicios, que se pueden plantear en forma similar y, en el último, comienza por hacer un pasaje de divisor como factor antes de comenzar a aplicar las propiedades de los logaritmos. Recuerda además que log(10) = 1, y que log(1) = 0.
Espero haberte ayudado.
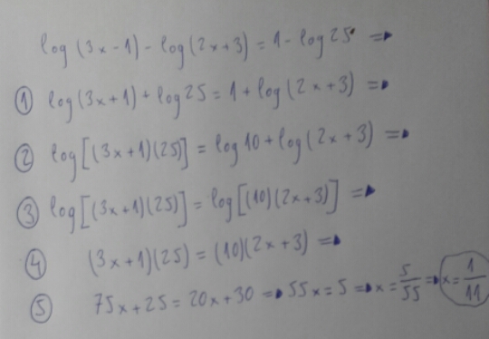
El ejercicio i), paso a paso:
PASO 1: Cambiamos los elementos negativos de lado, para que se nos quede en positiva y sea más fácil operar posteriormente con los logaritmos (pues eliminaremos las divisiones)
PASO 2: 1=log1010 (recuerda que si log no aparece la base, se da por hecho que es en base 10)
PASO 3: En el lado derecho de la ecuación empleamos logA+logB= log (AB)
PASO 4: Como ambos miembros de la igualdad están en función de logaritmo, es lícito eliminar "log" en la izquierda y derecha
PASO 5: Eliminamos paréntesis, agrupamos equis y obtenemos su valor
buenas tardes señores, alguien me puede ayudar a factorizar este trinomio de la forma 3y²+2y−3 se los agradecería muchisimo
Si la ecuación es: 3y²+2y−3=0
Con la ecuación de 2º grado (también llamada fórmula de Bhaskara):
y1,2= [-b+/-√(b2-4ac)]/2a Siendo a=3, b=2 c=-3
y1,2= [-2+/-√(22-4(3)(-3))]/2(3)
y1,2= [-2+/-√(22-4(3)(-3))]/2(3)
y1,2= [-2+/-√40]/6
y1= (-2+√40)/6= (-2+2√10)/6
y2= (-2-2√10)/6
(y-y1)(y-y2) es la factorización
SI TE PIDEN FACTORIZAR 3y²+2y−3
3y²+2y−3= y(3y+2) - 3

Para factorizar un polinomio cuadrático debes tomar en cuenta su coeficiente principal, y encontrar luego sus raíces, tarea que puedes hacer con la fórmula resolvente o con el método de completar un trinomio cuadrado perfecto.
Tienes el polinomio cuya expresión es: P(y) = 3y2 + 2y - 3, observa que su coeficiente principal, que hemos remarcado, es: a = 3;
luego planteamos la condición que cumplen las raíces del polinomio:
P(x) = 0, sustituimos y queda la ecuación:
3y2 + 2y - 3 = 0,
aquí, si vas a emplear la fórmula resolvente, observa que los coeficientes son: a = 3, b = 2 y c = -3, y que sus soluciones son:
1) y1 = ( -2 - √(40) )/6 = ( -2 - 2√(10) ) / 6 = -2/6 - 2√(10)/6 = -1/3 - √(10)/3;
2) y2 = ( -2 + √(40) )/6 = ( -2 + 2√(10) ) / 6 = -2/6 + 2√(10)/6 = -1/3 + √(10)/3;
luego, la expresión factorizada general de un polinomio cuadrático es: P(y) a(y - y1)(y - y2), que para este ejercicio queda:
P(y) = 3( y - (-1/3 - √(10)/3) )*(y - ( -1/3 + √(10)/3) ), distribuimos signos en cada factor y queda:
P(y) = 3(y + 1/3 + √(10)/3)(y + 1/3 - √(10)/3).
Espero haberte ayudado.