Tengo una duda. Estoy estudiando la combinación lineal de los vectores, se el proceso que hay que llevar a cabo, pero no entiendo la relación existente entre combinación lineal, dependencia e independencia lineal. ¿puede ayudarme alguien?

Tenemos varios vectores. Multiplicamos cada vector por un escalar (un número real). Sumamos los vectores obtenidos. Pues bien, ese vector es COMBINACIÓN LINEAL de los vectores dados. Y también decimos que ese vector DEPENDE LINEALMENTE los vectores dados.
Tenemos un conjunto de varios vectores. Si uno de ellos es combinación lineal de todos los demás, entonces diremos que es un conjunto de vectores LINEALMENTE DEPENDIENTES (o FAMILIA LIGADA). En cambio, si NINGUNO se puede expresar como combinación lineal de los demás, diremos que es un conjunto de vectores LINEALMENTE INDEPENDIENTES (o FAMILIA LIBRE).
Esto último también puede expresarse con la siguiente condición: la ÚNICA combinación lineal de vectores de una familia libre que da el VECTOR NULO es aquélla en la que los coeficientes escalares de la combinación son CEROS.
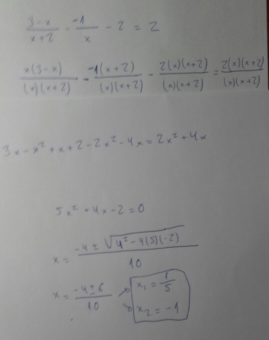
tres menos x partido x más dos menos x menos 1 partido x menos dos es igual a menos dos.
Si el ejercicio sólo trae lo que nos muestras en la fotografía, exponiendo la ecuación diferencial con las dos constantes valdría. Para hallar las constantes te deben de dar unas condiciones iniciales que debe cumplir la función incógnita, por ejemplo: y(0)= 5 ; y( 2) = 0 e introduciéndolas en tu solución hallarías las constantes.
Un saludo
3-x/x+2-x-1/x-2=-2
Ayuda por favor para resolverlo, si podeis decirmelo paso a paso como resolverlo.
intuyo que esa ecuación es una ecuación racional (deberías poner algunos paréntesis para que no haya confusiones). Una mejor explicación que la que te podría dar yo está aquí
https://www.youtube.com/watch?v=kQHSjzA-VPU
un saludo
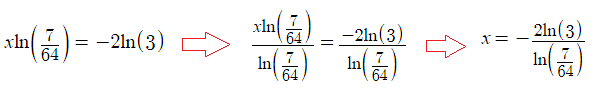
(18)7x - (8)43x-1
Ayuda por favor para resolverlo , se resuelve de forma logaritmica , si me pudieran enseñar paso a paso se los agradeceria
alguien me explica como hallar los planos coordenados a partir de otro plano y su vector
gracias¡
http://www.unicoos.com/video/matematicas/2-bachiller/rectas-y-planos/posicion-relativa-de-rectas-y-planos/posicion-relativa-de-dos-planos-01
Seguro que te ayudan (sobretodo los dos últimos)
Alguien tiene videos de vectores tridimensiones explicaciones y eso gracias de antemano