relacion entre problemas de optimizacion y aplicacion de derivadas:
a poder ser los pasos.
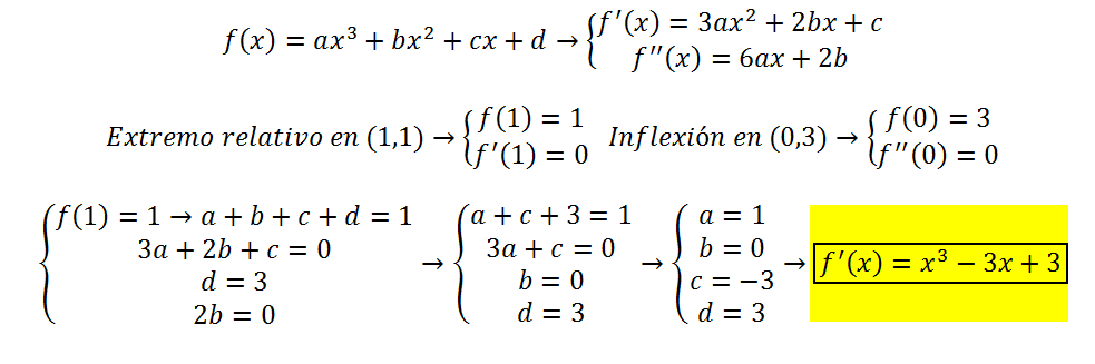
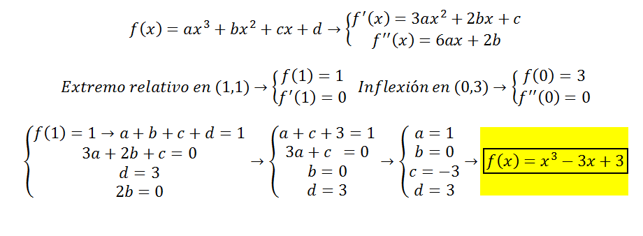
1. Hallar una función polinómica de tercer grado que tenga un extremo relativo en (1 , 1) y un punto de inflexión en (0 , 3).
gracias!

Puedes comenzar con la expresión general de la función: f(x) = ax3 + bx2 + cx + d,
con la expresión de su derivada primera; f ' (x) = 3ax2 + 2bx + c,
y con la expresión de su derivada segunda: f ' ' (x) = 6ax + 2b.
Luego, observa que tienes que el punto de coordenadas A(1,1) pertenece a la gráfica de la función, reemplazas y queda:
f(1): a + b + c + d = 1 (1).
Luego, observa que tienes que el punto de coordenadas B(0,3) pertenece a la gráfica de la función, reemplazas y queda:
f(0): d = 3 (2).
Luego, observa que la función presenta un extremo relativo en el punto A, cuya abscisa es x = 1, por lo que puedes plantear: f ' (1) = 0, reemplazas y queda:
f ' (1): 3a + 2b + c = 0 (3).
Luego, observa que la función presenta una inflexión en el punto B, cuya abscisa es x = 0, por lo que puedes plantear: f ' ' (0) = 0, reemplazas y queda:
f ' ' (0): 2b = 0 (4).
Luego, con las ecuaciones señaladas (1) (2) (3) (4) tienes el sistema:
a + b + c + d = 1
d = 3
3a + 2b + c = 0
2b = 0, de aquí puedes despejar: b = 0
luego reemplazas los valores remarcados en las otras dos ecuaciones, reduces términos y queda:
a + c = -2
3a + c = 0
luego restas las ecuaciones y queda:
-2a = -2, de aquí puedes despejar: a = 1
luego reemplazas en la primera ecuación, y puedes despejar: c = -3.
Por lo tanto, concluimos que la expresión de la función es:
f(x) = x3 - 3x + 3,
Espero haberte ayudado.
Mi primer coment en el foro... :D
Pregunta 1. Se dan los focos de la hipérbola F’ (-10, 0) y F (10, 0) y su asíntota 4x+3y=0. Escriba la ecuación de la hipérbola.
Pregunta 2. Calcule el área del recinto limitado por las gráficas de las funciones f(x)= e x y g(x)= lnx y las rectas x=1 y x=e.
Gracias de antemano!

1) Observa que el punto medio entre los dos focos es el origen de coordenadas, y que los dos focos se encuentran en el eje de abscisas OX, por lo que tenemos:
Centro de simetría: C(0,0), semidistancia focal: c = 10, forma de la ecuación: x2/a2 - y2/b2 = 1, forma de las ecuaciones de las asíntotas: y = ± (b/a)x, relación entre semiejes: a2 + b2 = c2.
Luego, planteamos la ecuación cartesiana explícita de la asíntota del enunciado y queda: y = -(4/3)x, de donde tenemos: b/a = 4/3, y podemos despejar: b = 4a/3.
Luego, sustituimos en la relación entre semiejes y queda:
a2 + (4a/3)2 = 102, resolvemos potencias y queda:
a2 + 16a2/9 = 100, resolvemos el primer miembro y queda:
25a2/9 = 100, de donde podemos despejar:
a2 = 36, luego despejamos y la longitud del semieje real queda: a = 6,
luego, reemplazamos en la expresión del semieje imaginario y queda: b = 4*6/3 = 8.
Luego, la ecuación de la hipérbola queda: x2/62 - y2/82 = 1, resolvemos denominadores y llegamos a: x2/36 - y2/64 = 1.
2) Haz un gráfico, y observa que la gráfica de la función exponencial está "más alta" que la gráfica de la función logarítmica, por lo que la expresión del área queda:
A = ∫ (ex - lnx) dx, para evaluar entre x= 1 y x = e.
Luego integramos (observa que para el primer término el cálculo es directo, y para el segundo debes aplicar el método de integración por partes) y queda:
A = [ ex - xlnx + x ], evaluamos con la regla de Barrow entre 1 y e y queda:
A = ( ee - elne + e) - ( e - ln1 + 1 ) = (ee - e + e) - (e - 0 + 1) = ee - e - 1 ≅ 11,436.
Espero haberte ayudado.
Se quiere construir un recipiente en forma de cilindro circular recto, sin tapa, de manera que alcance una capacidad de 64π m3 Determine las dimensiones del cilindro que ocuparía la menor cantidad de material posible.
Alguno que me pueda ayudar con esta optimizacion. Ya que intento despejando la variable con el área del cilindro pero en el momento que trato de hacer el resto no me da.

Debes emplear material, por ejemplo chapa, para construir el fondo del recipiente (disco circular) y para construir su pared cilíndrica.
Llamemos r al radio del cilindro, y h a su altura, luego tenemos (llamamos A1 al área del fondo y A2 al área de la pared):
A = A1 + A2 = πr2 + 2πrh.
Luego, recuerda que el volumen de un cilindro con radio r y altura h queda expresado: V =πr2h, por lo que podemos plantear:
πr2h = 64, de donde podemos despejar: h = 64 / πr2, luego reemplazamos en la expresión del área y nos queda:
A = πr2 + 2πr*64 / πr2 = πr2 + 128/r, cuyo dominio es: D = (0,+∞).
Luego, planteamos la expresión de la derivada primera de la función área, y queda:
A ' = 2πr - 128/r2.
Luego, planteamos la expresión de la derivada segunda de la función área y queda:
A ' ' = 2π - 256/r3.
Luego, planteamos la condición de punto crítico (posible máximo o posible mínimo):
A ' = 0, sustituimos y queda:
2πr - 128/r2 = 0, hacemos pasaje de término y queda:
2πr = 128/r2, hacemos pasajes de factores y divisores, resolvemos y queda:
r3 = 64/π, hacemos pasaje de potencia como raíz y queda:
r = ∛(64/π) = 4/∛(π).
Luego, evaluamos en la expresión de la derivada segunda y queda:
A ' ' (∛(64/π)) = 2π - 256/(∛(64/π) )3 = 256 / (64/π) = 4π > 0,
por lo que tenemos que la gráfica de la función área es cóncava hacia arriba en el punto crítico, por lo que tenemos que la función presenta un mínimo.
Luego, las dimensiones del recipiente quedan:
r = 4/∛(π).
h = 64 / πr2 queda para que realices el reemplazo del valor del radio y el cálculo.
Espero haberte ayudado.
Hola, estoy un poco liado con este ejercicio, no tengo la componente z para poder hallar "k" en este ejercicio Gracias![]()

Observa que el punto P(2,-2,2) verifica la ecuación del paraboloide, por lo que el punto de contacto tiene coordenadas. x=2, y=-2, z=2.
Luego, observa que las derivadas parciales de la función: f(x,y) = (x2 + 4y2)/10 quedan:
fx(x,y) = x/5, que al evaluarla para la abscisa y la ordenada del punto queda: fx(2,-2) = 2/5;
fy(x,y) = 4y/5, que al evaluarla para la abscisa y la ordenada del punto queda: fy(2,-2) = -8/5.
a) La ecuación del plano tangente al paraboloide en el punto P queda:
z = 2 + (2/5)(x - 2) - (8/5)(y + 2).
Luego, planteamos la ecuación cartesiana implícita del plano tangente y queda:
- (2/5)(x - 2) + (8/5)(y + 2) + z -2 = 0, en la que podemos ver las componentes del vector normal al plano tangente:
n = <-2/5,8/5,1>.
b) Luego, con las coordenadas del punto P, y el vector n que es director de la recta normal, podemos plantear las ecuaciones cartesianas paramétricas para dicha recta:
x = 2 - (2/5)t
y = -2 + (8/5)t
z = 2 + t
con t ∈ R.
Espero haberte ayudado.
si en una ecuacion de segundo grado me dan esto: dos x al cuadrado mas cuatro x igual a 0
que hago?

Tienes la ecuación polinómica cuadrática:
2x2 + 4x = 0, extraes factor común 2x en el primer miembro y queda:
2x(x + 2) = 0, luego, por anulación de un producto, tienes dos opciones:
a) 2x = 0, en la que haces pasaje de factor como divisor y queda: x = 0/2, porloque una solución es: x1 = 0;
b) x + 2 = 0, en la que haces pasaje de término y queda: x2 = -2.
Otra forma de resolver es aplicar al fórmula resolvente, considerando los coeficientes: a = 2, b = 4, c = 0.
Espero haberte ayudado.
hola chicos y chicas alguien me podría ayudar con este problemita :(
al calcular no me di ni un resultado parecido y ya me estoy agobiando. muchas gracias de antemano ;) :*

Vamos con una orientación: debes aplicar el Método de los Multiplicadores de Lagrange, en este caso con la función (distancia entre un punto genérico de la intersección, elevada al cuadrado):
f(x,y,z) = x2 + y2 + z2, que es una función diferenciable en R3, cuyas derivadas parciales quedan: fx = 2x, fy = 2y, fz = 2z.
Además, el punto P cumple dos condiciones a la vez, ya que pertenece al plano y al cilindro, por lo que planteamos dos funciones diferenciables de restricción:
g(x,y,z) = x2 + y2 - 4, cuyas derivadas parciales quedan: gx = 2x, gy = 2y, gz = 0;
h(x,y,z) = x + y + z - 2, cuyas derivadas parciales quedan: hx = 1, hy = 1, hz = 1.
Luego, planteamos el Sistema de Ecuaciones de Lagrange (indicamos con a y b a los multiplicadores):
2x = 2ax + b
2y = 2ay + b
2z = b
x2 + y2 - 4 = 0
x + y + z - 2 = 0
Luego, haz el intento de resolver el sistema de ecuaciones (puedes comenzar por sustituir la expresión de la tercera ecuación en las otras cuatro), y si te es preciso puedes volver a consultar.
Espero haberte ayudado.