Buenos días. Estoy con estadística que me hago un lío y no diferencio entre la distribución de Bernoulli y la binomial.
El enunciado empieza así: En una empresa saber programar en el lenguaje C es muy importante. Se ha cogido una muestra de 250 estudiantes y 113 no saben programar en C.
Entonces quiero ponerlo en forma de distribución, pero no se si debería de ser una distribución de Bernoulli con p=(113/250) o si es distribución Binomial con n=250, p=(113/250)
Yo creo que es lo primero, porque en la segunda estoy diciendo que cada persona tiene la probabilidad de 113/250 de no saber programar en C, y creo que no es así.
Alguien podria verificar si la respuesta esta bien por favor es que algunos aspectos del problema me varecen ser erroneos
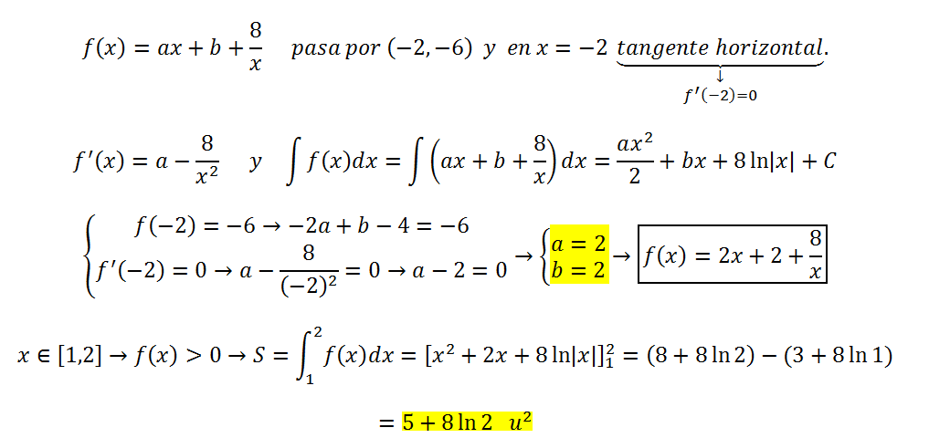
¿Alguien me puede ayudar con este ejercicio de tangete horizontal y áreas?
Mi problema es que al calcular la función me da la siguiente: 2x+4+8/x
Y sin embargo esa función no pasa por las rectas x=1 y x=2 en las que me pide calcular la área.

Hola Silvia!
pues mira el primero debes de despejar X y de ahí hacer el teorema de Pitágoras, el segundo no se como se resuelva siendo sincero y el tercero debes de despejar de nuevo X y siendo un triángulo rectángulo tiene un ángulo recto (90º), por lo que su altura coincide con uno de sus lados (a). El área es la mitad del producto de los dos lados que forman el ángulo recto (catetos a y b)
![]()

Los ejercicios números 2 y 3 los has resuelto correctamente.
En el ejercicio 1 puedes aplicar el Teorema de Pitágoras, que puede enunciarse: "en todo triángulo rectángulo se tiene que el cuadrado de la hipotenusa es igual a la suma de los cuadrados de los catetos". Luego, planteas:
a2 = (x+2)2 + (x+2)2, reducimos términos semejantes en el segundo miembro y queda:
a2 = 2*(x+2)2 hacemos pasaje de potencia como raíz y queda:
a = √( 2*(x+2)2 ), distribuimos la raíz entre sus factores y queda:
a = √(2)*√( (x+2)2 ), simplificamos raíz y potencia en el segundo factor del segundo miembro y llegamos a:
a = √(2)*(x + 2).
Luego, la expresión del área queda:
A = (x+2)*(x+2)/2 = (x + 2)2/2.
Espero haberte ayudado.
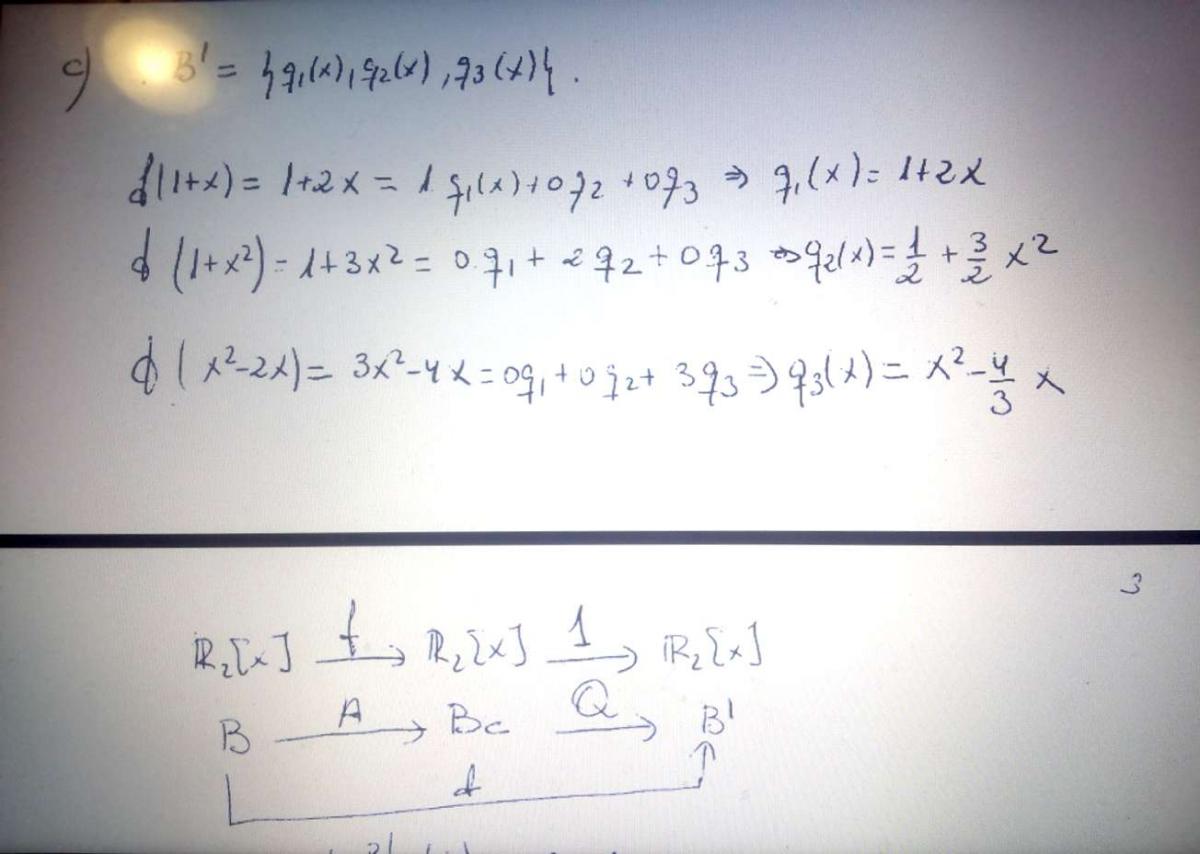
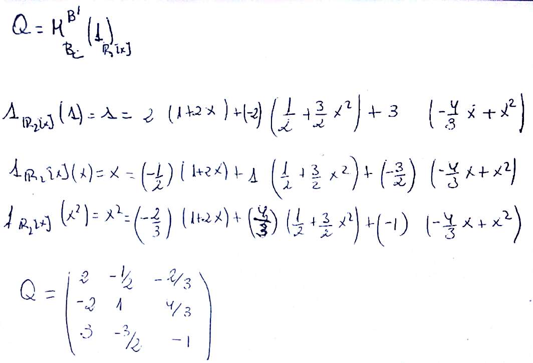
Hola, había logrado hacer el apartado a) y b), no entendía cómo se resolvía el c), acudí a la solución y no la entiendo mucho, es esta:![]()
![]()
cuando hace f(1+x^2)= al final pone 1/2 + 3/2x^2 y q3(x)= x^2-4/3x no sé cómo calculan eso.
Y cuando 1 R2[x] (1) = 1 = 2 . (1+2x) + (-2) . y todo lo demás no sé de dónde sale. Gracias
Muy buenas , hace poco tuve el periodo de examenes, y en mi examen de matematicas me pidieron que demostrara que el lim (-2)/(x-3)2= --∞
x→3
intente hacerlo con la definicion que dio el profe en los videos pero no me salio, me gustaria que me ayudaran, desde ya gracias.
Buenas, quisiera un poco de ayuda con la resolución del problema. Se me hace un tanto difícil el poder plantear la figura dado a las 3 hileras que me piden , me tiende a confundir un poco.
Tambien puedes hacer lo siguiente, coges y expresas el perimetro que vas a cercar como 3(2x+y)=2400 donde x e y son los lados del terreno rectangular, despejas una de las dos variables y la sustituyes en la ecuacion del area de un rectangulo, A=xy y derivas el area con respecto a la variable en cuestion, la igualas a 0 y determinas maximos y minimos.