![]()
Cómo planteo esto de forma escrita? La saqué por lógica pero necesito saber cómo se puede plantear de forma escrita :'(
Gracias de antemano

Llamemos:
m: cantidad de mujeres en 4° A
h: cantidad de hombres en 4° A
luego tienes la relación: m = 2h,
y la probabilidad de elegir un hombre en 4° A queda:
p = h/(m+h) = h(2h+h) = h / 3h = 1/3.
Luego, llamemos:
M: cantidad de mujeres en 4° B
H: cantidad de hombres en 4° B
luego tienes la relación: H = M-5,
y la probabilidad de elegir un hombre en 4° B queda:
P = H/(M+H) = (M-5)/(M+M-5) = (M-5)/(2M-5).
Luego, como tienes que las probabilidades son iguales, planteamos P = p, sustituimos y queda:
(M-5)/(2M-5) = 1/3, hacemos pasajes de divisores como factores y queda:
3(M-5) = 2M-5, distribuimos el primer miembro y queda:
3M - 15 = 2M - 5, hacemos pasajes de términos, reducimos términos semejantes y queda:
M = 10, de donde tenemos: H = 10 - 5 = 5, y la cantidad total de alumnos de 4° B queda: N = 15.
Espero haberte ayudado.
Me ayudaría mucho hacer desde la 37 hasta la 40.
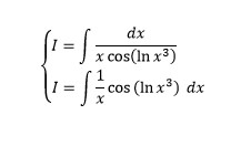
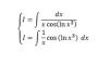
37 : ∫ X2 e x^3 dx 38) ∫ 1654 √(2x+1) dx 39) ∫ dx/(xlnx) 40 ) ∫ dx/ (√ (x+4 ) - √ (x+3) )
Como puedo encontrar los puntos de una función, donde la recta tangente tenga un pendiente determinada, por ejemplo 1?
Muchas gracias
Hola buen día espero puedan ayudarme en este problema de algebra, me siento un poco confundido ya que lo he resolvido por gauss y he podido dar condiciones pero aun no me queda claro como finalizarlo
Encuentre valores de a,b,c tales que el sistema tenga solución, no tenga solución y tenga infinitas soluciones
x+3y+z=a
-x-2y+z=b
3x+7y-z=c
De antemano muchas gracias!!! :D

Planteamos la matriz ampliada del sistema:
1 3 1 a
-1 -2 1 b
3 7 -1 c
A la fila 2 le sumamos la fila 1, a la fila 3 le restamos el triple de la fila 1, y queda:
1 3 1 a
0 1 2 (a+b)
0 -2 -4 (-3a+c)
A la fila 1 le restamos el triple de la fila 2, a la fila 3 le sumamos el doble de la fila 2, y queda:
1 0 -5 (-2a-3b)
0 1 2 (a+b)
0 0 0 (-a+2b+c)
Luego, observa que el rango de la matriz del sistema es 2, y que tenemos dos opciones para el rango de la matriz ampliada:
1) Si -a+2b+c=0 tenemos que el rango de la matriz ampliada es 2 y el sistema resulta ser compatible indeterminado, y con infinitas soluciones.
2) Si -a+2b+c≠0 tenemos que el rango de la matriz ampliada es 3 y el sistema resulta ser incompatible, y sin solución.
El sistema nunca puede ser compatible determinado, con única solución.
Espero haberte ayudado.
Si planteas el sistema como una matriz y a, b, c son los términos de la matriz ampliada:
- Si el rango de la matriz es igual al rango de la matriz ampliada y éste es igual al número de incógnitas, el sistema tiene solución.
- Si el rango de la matriz es igual al rango de la matriz ampliada y éste es menor al número de incógnitas, el sistema tiene infinitas soluciones.
- Si el rango de la matriz es diferente al rango de la matriz ampliada, el sistema no tiene solución.
Si sacas el determinante de la matriz ampliada, obtendrás algo así como -5a + 10b -4a (igual me equivoco, hazlo por si acaso) y tendrás que buscar valores para a, b y c que cumplan con las condiciones anteriores.
El rango de la matriz del sistema es 2 y el número de incógnitas 3, así que nunca podrá ser compatible determinado (¡pregunta trampa!)
¡Suerte!