-------------------------------------- COMBINATORIA --------------------------------------
19.- Calcular el valor de x:
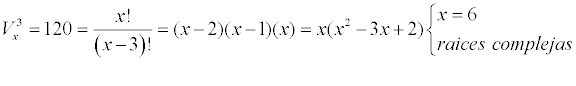
V(x;3) = 120--------> Ya se que es 6, pero no me sale despejarlo.
-------Mi resolución-------
1) X!/(X-3)! = 120
2) X(X-1)(X-2)(X-3)!/(X-3)! = 120
3) X(X-1)(X-2) = 120 -------------------> Hasta acá llegue.
a la hora de representar una funcion raiz, por ejemplo y=√4x, con saber hallar el dominio y representar dos o tres números de este valdría ? por ejemplo en este caso creo que serian todos los números reales positivos, entonces si cojo 1 y lo sustituyo la raiz de cuatro es dos, tendria que repersentar el dos en la funcion ?
![]()
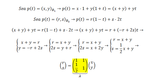
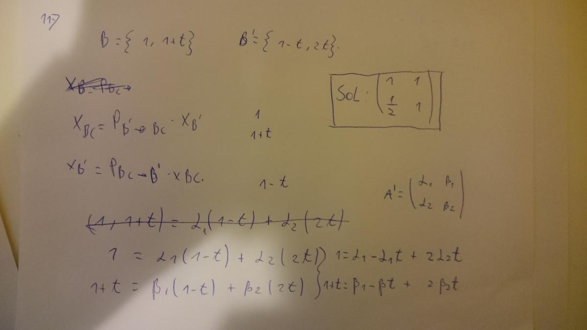
Hola, me he atascado con este ejercicio de matriz cambio de base, intenté hacerlo con la misma formula que la matricial, sin embargo, ....no funciona :'(. La solución es (1, 1) (1/2,1).![]()

Vamos con ayuda para resolver el sistema de ecuaciones que has planteado. Debes considerar las ecuaciones que has planteado por separado:
La primera ecuación queda:
1 = α1 + (-α1 + 2α2)t,
luego tienes (comparamos términos según su grado):
1 = α1
-α1 + 2α2 = 0, de donde despejas: α2 = 1/2.
La segunda ecuación queda:
1 + 1t = β1 + (-β1 + 2β2)t
luego tienes (comparamos términos según su grado):
1 = β1
1 = -β1 + 2β2, de donde despejas: β2 = 1.
Espero haberte ayudado.

Tienes en tu tercera línea:
ln(A) = Lím(x→0) (cosecx/2)*ln(1+senx)
aplicas la identidad trigonométrica: cosecx = 1/senx y queda:
ln(A) = Lím(x→0) (1 / 2senx)*ln(1+senx) = Lím(x→0) ln(1+senx) / 2senx
aplicas la regla de L'Hôpital y queda: (observa que en el numerador debemos aplicar la regla de la cadena):
ln(A) = Lím(x→0) ( cosx/(1+senx) ) / 2cosx = Lím(x→0) ( 1 / 2(1+senx) ) = 1/2.
Luego compones en ambos miembros por la función inversa del logaritmo natural y llegas a:
A = e1/2 = √(e).
Espero haberte ayudado.
Dad la ecuación general de la recta tangente en un punto (a,b) de una función f(x). Puede ser que la misma recta sea tangente en diversos puntos? Si es así, dad un ejemplo.
La ecuación general se que es (y-b)=f'(a)*(x-a). También se que la misma recta puede ser tangente en diversos puntos de una función, pero no se me ocurre ningún ejemplo, me podríais dar un ejemplo en que la misma recta fuese tangente en diferentes puntos de una misma función, o soy yo que me estoy equivocando y no existe tal posibilidad (es que mi profe de mates me dijo que sí, pero no se le ocurrió ningún ejemplo)?
Gracias

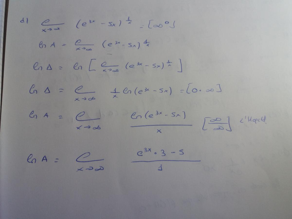
Observa que el numerador de la expresión, en tu anteúltima línea, es (observa también que la derivada del denominador es uno):
N = ln(e3x - 5x), cuya derivada es (observa que aplicamos la regla de la cadena):
N ' = (3e3x - 5)/(e3x - 5x).
(observa que el numerador es una expresión de la forma: N = ln(u), cuya derivada queda: N ' = (1/u) * u ' = u ' / u).
Por lo tanto, en tu última línea queda:
ln(A) = Lím(x→∞) (3e3x - 5)/(e3x - 5x)
vuelves a aplicar la regla de L'Hôpital y queda:
ln(A) = Lím(x→∞) 9e3x / (3e3x - 5)
vuelves a aplicar la regla de L'Hôpital y queda:
ln(A) = Lím(x→∞) 27e3x / 9e3x = simplificas y resuelves = 3.
Luego, compones con la función inversa del logaritmo natural en ambos miembros y llegas a:
A = e3.
Espero haberte ayudado,