cómo se hace? estoy perdido. hay que usar rangos?
Teniendo en cuenta los planos π1= x+y+z= -2 y π2= x-y-2z = , crea otro plano, cuya la posición relativa de los tres planos sea:
a. Que corte en un punto
b. Que corte en una recta
c. No tengan un punto de corte común, pero que los planos se corten a pares
Hola David, como se averigua el número decimal de una fracción sin realizar un cociente
Si un número es múltiplo de otro...el número decimal será cero en la fracción
Si no es múltiplo, habrá que ver, multiplicando el más pequeño por los números enteros en orden, hasta que (sin pasarse) nos acerquemos lo máximo. Entonces representaremos en la recta real los números entre los que está y dividiremos esa unidad en tantos trozos idénticos como unidades tenga el número pequeño (el que multiplicamos anteriormente) y marcaremos la misma cantidad de trozos que unidades nos quedaron para llegar.
Espero que fuera esto lo que preguntabas, y si no, reformula tu pregunta y se te responderá

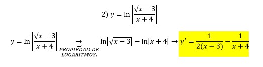
Observa que la expresión de la función a integrar es una fracción en la que el numerador es un polinomio de grado dos y el denominador es otro polinomio de grado dos. Recuerda que si los grados son iguales, como es en este caso, o si el grado del numerador es mayor que el grado del denominador, debes comenzar por efectuar la división:
f(x) = (x2 + 1)/(x2 + x) = (x2 + 1) / x(x + 1) = ( (x2 + x) + (- x + 1) ) / x(x + 1) = ( x(x + 1) + (-x + 1) ) / x(x + 1) = distribuimos el denominador =
= 1 + (-x + 1) / x(x + 1) (1).
Luego, planteas el método de las fracciones simples para el término fraccionario y queda:
f(x) = 1 + 1/x - 2/(x + 1).
Luego, la integral queda:
I = ∫ (x2 + 1)/(x2 + x) dx = ∫ ( 1 + 1/x - 2/(x + 1) )dx = x + ln|x| - 2ln|x + 1| + C.
Espero haberte ayudado.
Este ejercicio esta bueno?
Una empresa suministra una serie componentes con una vida media de λ horas. El riesgo de rotura de los mismos crece a lo largo del tiempo según una variable exponencial y por lo tanto, el tiempo de vida de los componentes, X , sigue una distribución exp(λ)
Si se sabe que la probabilidad de que un componente se rompa antes de llevar 1000 horas de funcionamiento es 0,2592
determine la probabilidad de que un componente se rompa estando en garantía (los componentes tienen una garantía de 30 días)
P(X≤1000)= 1-e1/x*1000=0,2592 entonces despeje el x aplicando Ln y me queda ln(0.7410)=-1000/X luego x=3333.3 y con eso calcule la esperanza
entonces P(x≤720)=1-e-720/3333.3= 0.1942

Me encantaría ayudarte, pero no respondo dudas universitarias que no tengan que ver específicamente con los videos que ya he grabado como excepcion. O de otras asignaturas que no sean matemáticas, física y química. Lo siento de corazón… Espero lo entiendas
Ojalá algun unicoo universitario se anime a ayudarte (de hecho lo ideal es que todos los universitarios intentarais ayudaros los unos a los otros)
Hola me pueden ayudar con este ejercicio de distribución Poisson
La cantidad de accidentes automovilisticos registrado diariamente en cierta ciudad, en una muestra aleatoria de 100 dias, es la siguiente:
(es una tabla ordenada)
Cantidad de accidentes:0,1,2,3,4,5,6
Numero de dias: 19,26,26,15,9,4,1
Asumiendo que el numero de accidentes tiene una distribución Poisson. determine la probabilidad de tener a lo mas 2 accidentes al día.
lo que no entiendo es identificar la esperanza...... gracias

Me encantaría ayudarte, pero no respondo dudas universitarias que no tengan que ver específicamente con los videos que ya he grabado como excepcion. O de otras asignaturas que no sean matemáticas, física y química. Lo siento de corazón… Espero lo entiendas
Ojalá algun unicoo universitario se anime a ayudarte (de hecho lo ideal es que todos los universitarios intentarais ayudaros los unos a los otros)
Disculpen de nuevo. En este ejercicio, ¿estaría correcto que u2(t)= (e^-2s)/s ?
En tal caso, la solucion sería esta ¿cierto?
Muchas gracias

Me encantaría ayudarte, pero no respondo dudas universitarias que no tengan que ver específicamente con los videos que ya he grabado como excepcion. O de otras asignaturas que no sean matemáticas, física y química. Lo siento de corazón… Espero lo entiendas
Ojalá algun unicoo universitario se anime a ayudarte (de hecho lo ideal es que todos los universitarios intentarais ayudaros los unos a los otros)
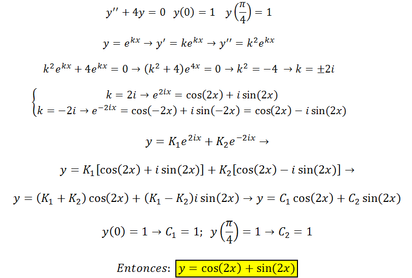
Buenas tardes. ¿Me podrian ayudar con este problema? Lo intento planteando la ecuación característica pero el resultado es un número complejo. ¿Cómo la resolvería? Muchas gracias por su ayuda.

Tienes una ecuación diferencial lineal, de segundo orden y primer grado, con coeficientes constantes y homogénea, cuya ecuación característica es:
2r2 + 8 = 0, cuyas soluciones son: r1 = 2i, y r2 = -2i (efectivamente, son números complejos, los dos con parte real igual a cero).
Luego, proponemos como solución general:
y = Acos(2t) + Bsen(2t), con A ∈ R y B ∈ R.
Luego tenemos las dos condiciones iniciales: 1) y(0) = 1, y 2) y(π/4) = 1.
Luego evaluamos para cada condición:
1) Reemplazamos x = 0 e y = 1 en la expresión de la solución general, y queda la ecuación:
1 = A.
2) Reemplazamos x = π/4 e y = 1 en la expresión de la solución general y queda:
1 = B.
Luego, la expresión de la solución particular para las condiciones iniciales del enunciado queda:
y = 1cos(2t) + 1sen(2t).
Recuerda que en este tipo de ecuaciones, cuando la ecuación característica tiene soluciones complejas conjugadas, del tipo r = a ± bi, tenemos que la solución general queda:
y = eat * ( Acos(bt) + Bsen(bt) ), con A ∈ R y B ∈ R.
Espero haberte ayudado.