una pregunta:
raiz a la cuarta de 120 dividido entre raiz cuadrada de 20. Mi hijo y yo lo hemos hecho con resultados diferentes. Nos podrían ayudar. Gracias

Una forma alternativa:
4√(120) / √(20) = reducimos a índice común mínimo:
= 4√(120) / 4√(202) = resolvemos el argumento de la raíz en el denominador:
= 4√(120) / 4√(400) = asociamos raíces:
= 4√(120/400) = simplificamos el argumento:
= 4√(3/10) = factorizamos el denominador del argumento:
= 4√(3 / 2*5) = completamos factores:
= 4√(3*23*53 / 2*5*23*53) = reducimos factores con bases iguales en el denominador:
4√(23*3*53 / 24*54) = distribuimos la raíz:
= 4√(23*3*53) / 4√(24*54) = asociamos potencias en el argumento de la raíz del denominador:
= 4√(23*3*53) / 4√( (2*5)4 ) = simplificamos índice y exponente en el denominador:
= 4√(23*3*53) / (2*5).
Espero haberte ayudado.

Me encantaría ayudarte, pero no respondo dudas universitarias que no tengan que ver específicamente con los videos que ya he grabado como excepcion. O de otras asignaturas que no sean matemáticas, física y química. Lo siento de corazón… Espero lo entiendas
Ojalá algun unicoo universitario se anime a ayudarte (de hecho lo ideal es que todos los universitarios intentarais ayudaros los unos a los otros)
Dados los vectores u(2,-3,1) , v(4,0,-2) Dar un vector perpendicular a u y otra a v.
Me gustaría encontrar vídeos explicativos de contraste de Hipótesis, Anova y análisis de regresión, estoy estudiando 2ª de Psicología.
Hay mucho material y no ser como localizar los temas anteriormente mencionados.

Solo puedo ayudarte con estos por ahora. Contraste de hipotésis
Espero entiendas que unicoos se queda en bachiller, por ahora......
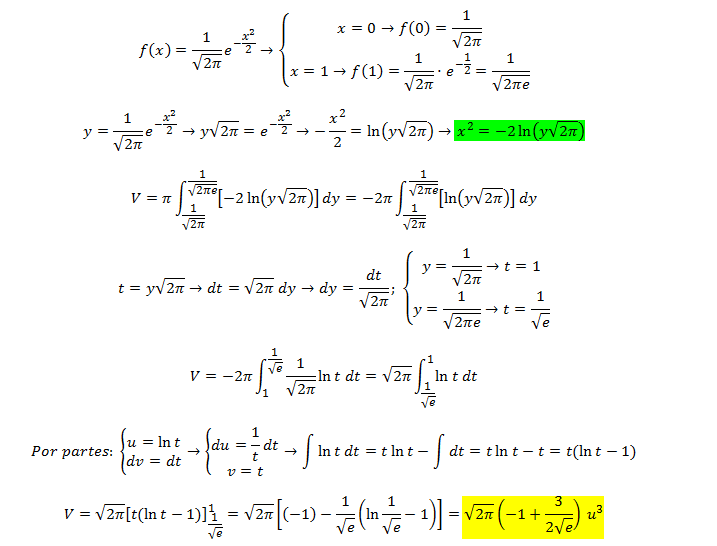
Este es el enunciado original, me quedé donde dije antes, simplificando el denominador ya sabría terminarlo y darle valor al límite
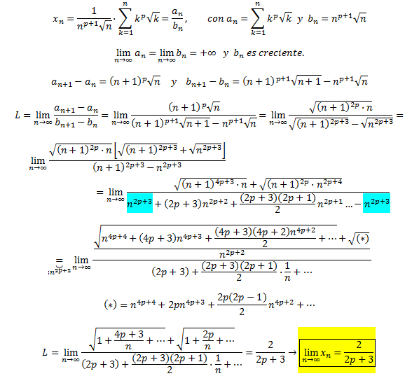
Estoy revisando y creo que an+1-an no es lo que pone en su solución, no seria an+1-an= (n+1)^p * raíz(n+1) ??
la diferencia seria la sumatoria que va desde n hasta n+1 de k^p *raíz(k), si sustitutuyo K por n+1 me sale lo de arriba y no (n+1)^p * raíz(n) como ha puesto.
De todas formas el resultado final sale igual, pero era por confirmar eso
si alguien me pudiese ayudar con este ejercicio estaría muy agradecido
Dos ciudades están separadas por una distancia de 65 kilómetros. a la misma hora de la mañana salen dos caminantes uno en encuentro del otro a velocidad constante y similar . El que sale de A despues de recorrer 25 kilómetros hace un descanso de una hora y posteriormente sigue con su camino con una velocidad de 2 km/h mas grande que con la que salio de A. El que sale de B hace su camio sin detenerse y a velocidad constante. A 36 km de A se encuentran los dos
Averigua la velocidad del caminante que salio de B