Hola me podrían decir que error cometí al hallar el espacio propio del autovalor λ=10, ya que estoy obteniendo como resultado el nulo
Se trata de:
Si para todo x se cumple que 1=ax^2+(bx+c)(x-1), entonces:
a) c+a+2b=0
b) a+b+2c=0
c)...
d)...
Desarrollando el polinomio queda un coeficiente para x^2, otro para x y un término independiente:
1=(a+b)x^2 + (b+c)x + c
Se igualan a 0 los coeficientes y se suman. El resultado es la opción a, que es la correcta, por lo visto. Mi duda es que no se qué sentido tiene hacer eso. ¿Podrías clarificar este procedimiento? Yo entiendo que dadas las soluciones igualadas a 0, bueno me da una pista para igualar los coeficientes a 0, pero que pasa con el término independiente, que sería c-1, este no interviene, ¿por qué? Gracias.

Si desarrollas el segundo miembro, la ecuación del enunciado queda:
1 = ax2 + bx2 - bx + cx - c, luego extraes factor común por grupos y queda:
1 = (a + b)x2 + (-b + c)x - c, luego, observa que tienes una igualdad entre polinomios, y el primer miembro puedes escribirlo:
0x2 + 0x + 1 = (a + b)x2 + (-b + c)x - c, luego, por igualdad entre polinomios, igualas término a término según el grado y queda:
0x2 = (a + b)x2
0x = (-b + c)x
1 = -c,
luego comparas coeficientes y queda el sistema de ecuaciones:
0 = a + b
0 = -b + c
1 = -c, haces pasaje de término y queda: c = -1,
reemplazas en las otras ecuaciones (en realidad, solo en la segunda) y queda:
0 = a + b
0 = -b - 1, haces pasaje de término y queda: b = -1,
reemplazamos en la ecuación restante y queda:
0 = a - 1, hacemos pasaje de término y queda: 1 = a.
Para verificar, reemplazas en la ecuación original y queda:
1 = 1x2 + (-1x - 1)(x - 1),
luego puedes desarrollar el segundo miembro y verás que se verifica la solución hallada: a = 1, b = -1, c = -1.
Espero haberte ayudado.
Hola, tengo el siguiente ejercicio de ecuaciones diferenciales:![]()
yo lo intenté hacer:
a) Ecuación diferencial de variables separables
b) Ecuación diferencial lineal homogénea orden 2
c) Ecuación diferencial lineal homogénea orden 2
d) Ecuación diferencial lineal homogénea orden 2
e) Ecuación diferencial lineal homogénea orden 3
f) Ecuación diferencial lineal homogénea orden 2
¿lo tengo bien?

Tienes ecuaciones lineales excepto la última, y recuerda que el orden lo tienes con la mayor derivada, y que el grado lo tienes con la potencia a la que está elevada la mayor derivada, y también recuerda que puedes clasificar con coeficientes constantes, coeficientes variables, homogéneas y no homogéneas.
a) Ecuación diferencial lineal, de orden 1, grado 1, coeficientes constantes no homogénea.
b) Ecuación diferencial lineal homogénea orden 2, grado 1, coeficientes variables.
c) Ecuación diferencial lineal homogénea orden 2, grado 2, coeficientes variables.
d) Ecuación diferencial lineal no homogénea orden 2, grado 1, coeficientes constantes.
e) Ecuación diferencial lineal homogénea orden 3, grado 2, coeficientes variables.
f) Ecuación diferencial no lineal homogénea orden 2, grado 2, coeficientes variables.
Espero haberte ayudado.
Buenas noches.
Mi duda es, ¿por qué la transformada inversa de (3s)/(s^2-9) es 3/2 (e^3t+e^-3t) en lugar de 3 cos 3t? ¿Al realizar la inversa no puedo sacar la constante fuera? ¡Muchas gracias y que tengan todos felices fiestas!

Observa que la transformada de la función:
f(t) = 3cos(3t) queda: F(s) = 3s/(s2 + 9).
Y observa que la transformada de la función:
g(t) = 3cosh(3t) = (3/2)(e3t + e-3t) queda: G(s) = 3s/(s2 - 9).
Observa que los denominadores de las expresiones de las transformadas no son iguales.
Espero haberte ayudado.

Es conveniente verificar bien las expresiones, tanto de las transformadas como de las antitransformadas. No me parece necesario, a no ser que te lo pidan explícitamente en un ejercicio, qu ese haga el planteo completo, pero sí es conveniente tener las tablas de transformadas y antitransformadas a mano y consultarlas para verificar soluciones.
Espero haberte ayudado.
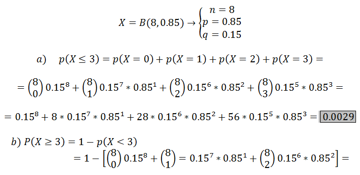
Hola, me pueden ayudar con este ejercicio en la a me dio 1 y en la b 2 imposible que me de eso. felices fiestas ;)

Tienes la variable aleatoria X: "calificación obtenida en la capacitación", con distribución normal, con media: μ = 65, y desviación típica: σ = 15,
llamamos Z a la distribución normal estándar, con media: μ = 0, y desviación típica: σ = 1).
a) p(X ≥ 80) = p( (X-65)/15 ≥ (80-65)/15 ) = p(Z ≥ 1) = buscas en la tabla.
b) p(X ≥ 50) = p( (X-65)/15 ≥ (50-65)/15 ) = p(Z ≥ -1) = buscas en la tabla.
c) Llamemos p = p(X < 50) = p( (X-65)/15 < (50-65)/15) ) = p(Z < -1) = buscas en la tabla (probabilidad de que el empleado elegido sea enviado a un nuevo curso);
q = 1 - p (probabilidad de que el empleado elegido no sea enviado a un nuevo curso).
Tienes una distribución binomial con parámetros n = 5 y probabilidad favorable p, para la variable aleatoria: Y: "cantidad de empleados enviados a un nuevo curso".
Luego planteamos:
p(Y = 3) = C(5,3)p3q2 = 10p3q2 = te dejo los cálculos.
Espero haberte ayudado.
Muchas gracias puedo hacerle otra consulta profesor, en un ejercicio que me pidan media y desviación típica y me den el valor de x y el = como puedo saber si el valor de = tengo que de transformarlo de la tabla o no,
por ejemplo me dan P(X≤2)=0,2 y P(X≤3)=0,3
entonces debo hacer el sistema pero antes de eso debo como saber si esos 0,2 y 0,3 de transformarlos de la tabla...

Observa que tienes dos ecuaciones, y que las incógnitas son μ (media) y σ (desviación típica.
Llamamos Z a la variable aleatoria con distribución normal, media cero y desviación típica 1.
Luego, vamos con las ecuaciones:
p(X ≤ 2) = p( (X-μ)/σ ≤ (2-μ)/σ ) = p( Z ≤ (2-μ)/σ ) = 0,2 (1)
p(X ≤ 3) = p( (X-μ)/σ ≤ (3-μ)/σ ) = p( Z ≤ (3-μ)/σ ) = 0,3 (2)
Luego, como tenemos los valores de las dos probabilidades, buscamos "adentro" de la tabla:
para la probabilidad señalada (1) buscamos: 0,20000, y nos queda: z = -0,84;
para la probabilidad señalada (2) buscamos 0,300000, y nos queda: z = -0,53.
Luego, planteamos a partir de los argumentos correspondientes el sistema de ecuaciones::
(2-μ)/σ = -0,84
(3-μ)/σ = -0,53
hacemos pasajes de divisores como factores y queda:
2 - μ = -0,84σ
3 - μ = -0,53σ
luego restamos miembro a miembro y queda:
- 1 = -0,31σ, hacemos pasaje de factor como divisor y queda: 3,23 = σ,
luego reemplazamos en la primera ecuación y queda:
2 - μ = -0,84*3,23, resolvemos el segundo miembro, hacemos pasajes de términos y queda: 4,71 = μ,
y puedes verificar el resultado en la segunda ecuación.
Espero haberte ayudado.
Hola.
Cual es el dominio de la función : f(x) = x2 / 1 + valor absoluto de X.
1º SEPARO LA FUNCIÓN, porque siempre que haya una función con valor absluto me piden que la estudie cuando sea NEGATIVO y cuando sea POSITIVO.
Bien:
Cuando x2 / x + 1 le corresponde el intervalo (-∞, -1) U (1, ∞)
y cuando x2 / 1 - x le corresponde el intervalo (-1,1)
¿ES ESTO CORRECTO O LO HE HECHO MAL?

Si la expresión de la función es: f(x)= x2/(1 + |x|),
observa que el denominador está constituido por dos términos positivos, y que toma valores mayores o iguales que 1,
por lo tanto, tienes que el denominador nunca toma el valor cero, y, por lo tanto, el dominio de la función queda:
D = (-∞,+∞) = R.
Luego, a partir de la definición de valor absoluto (|x| = x, si x ≥ 0, o |x| = -x, si x < 0), puedes expresar la función con trozos y queda:
f(x) =
x2/(1 + x) si x ∈ [0,+∞)
x2/(1 - x) si x ∈ (-∞,0)
observa que los denominadores no toman el valor cero en los intervalos correspondientes.
Espero haberte ayudado.