Como puedo calcular senos, cosenos, tangentes sin usar calculadora... por ejemplo quiero saber la arcotsngente de raíz de 3 y no puedo usar calculadora
PARA ESO/BACHILLERATO:
Basta con que te sepas las razones trigonométricas de los ángulos notables...
*Si sólo te sabes el seno y coseno podemos calcular que sen60=√3/2 e y que cos60=1/2, entonces tg60=sen60/cos60= (√3/2)/(1/2) = √3=tg60 (aunque seía muy recomendable saberse la tabla)
Teniendo en cuenta esto, para hacer la arcotangente en tu ejemplo, sólo nos tendríamos que preguntar qué ángulo tiene como tangente √3, que es 60º
PARA LA UNIVERSIDAD:
Puedes utilizar la tabla para encontrar una aproximación del ángulo, el valor de las tangentes de los ángulos del primer cuadrante de 10 en 10 grados es el siguiente:
tg 0º = 0.000000000000000000000000000000000
10, 0.176326980708464973471090386868619
20, 0.363970234266202361351047882776834
30, 0.577350269189625764509148780501957
40, 0.839099631177280011763127298123181
50, 1.191753592594209958705308071860420
60, 1.732050807568877293527446341505870
70, 2.747477419454622278761664026497670
80, 5.671281819617709530994418439863960
Haces √3 con decimales con tu lápiz y papel y obtenemos 1.73....que coincide con tg 60º
Otra alternativa es la serie de potencias de la función arcotangente:
arc tan (x) = x - x3/3 + x5/5 - x7/7 + ...
que funciona bien si tenemos paciencia para calcular a mano y x es menor que 1 (no es el caso de √3). El resultado será el ángulo EN RADIANES.
Ejemplo alternativo: Si x=0.5 , entonces arc tan (x) = 1/2 - 1/24 + 1/160 - 1/896 + ... que es aproximadamente 0,4635 radianes equivalente a 0,4635*(360/6,28) = 26,57º

Completamos.
Recuerda que para cada valor de seno, coseno o tangente, tenemos dos ángulos.
Luego, si debes resolver arctan(√(3)) tienes:
α1 = 60°, que se encuentra en el primer cuadrante, y
α2 = 240°, que se encuentra en el tercer cuadrante.
Recuerda que en el primer cuadrante (ángulos entre 0° y 90°), todas las funciones trigonométricas toman valores positivos;
y en el segundo cuadrante (ángulos entre 90° y 180°) toman valores positivos sólo el seno y la cosecante;
y en el tercer cuadrante (ángulos entre 180° y 270°) toman valores positivos sólo la tangente y la cotangente;
y en el cuarto cuadrante (ángulos entre 270° y 360°) toman valores positivos sólo el coseno y la secante.
En este, o cualquier otro ejercicio similar, es muy conveniente que hagas un gráfico tentativo, para visualizar mejor las opciones de respuesta.
Espero haberte ayudado.
Hola, estoy muy perdida para encontrar la función objetivo y las variables que deben ser cambiadas. :S alguien me puede ayudar? Es más, diría que las unidades que da el problema están mal. Gracias.

Me encantaría ayudarte, pero no respondo dudas universitarias que no tengan que ver específicamente con los videos que ya he grabado como excepcion. O de otras asignaturas que no sean matemáticas, física y química. Lo siento de corazón… Espero lo entiendas
Ojalá algun unicoo universitario se anime a ayudarte (de hecho lo ideal es que todos los universitarios intentarais ayudaros los unos a los otros)
P.D. Es muy posible te ayuden los dos vídeos de "transporte"..
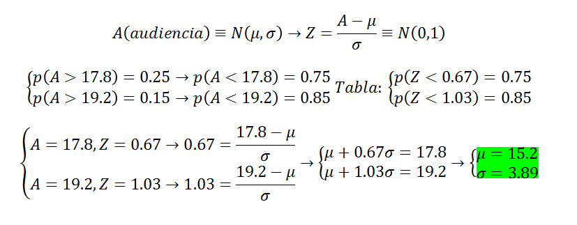
En este ejercicio de estadística como hago la a? y en la b tengo que calcular el coeficiente de variabilidad ?

b) Sí, el coeficiente de variación de K. Pearson para cada distribución (hombre y mujeres) y compararlo.
a) Hay 8+4=12 en las dos últimas clases. En la que cae 750 mil, (que va de 700 a 900), consideraremos los que están entre 750 y 900, que suponen 150/200 =3/4 de la frecuencia.
(3/4)·10=7.5
Total 12+17.5=29.5
Hola unicoos, me quiero salir un momentico de las rutinas de las preguntas de matemáticas y hacerles una pregunta diferente, disculpen que no sea el medio adecuado para este tipo de preguntas, pero tiene que ver algo con la formación académica universitaria jeje. Ya que la mayoria de los profes son de España mi duda es la siguiente:
Una empresa prestigiosa española, en donde abarca el trabajo de un ingeniero (ya sea quimico, electronico, mecanico), a la hora de seleccionar a los ingenieros novatos, los reclutadores tienen en cuenta el rendimiento académico de la persona que esta postulando a dicho puesto de trabajo como ingeniero?, me refiero al promedio de las calificaciones que ha obtenido a lo largo de su formacion universitaria.
Un abrazo.
Hola!
Respecto a los polinomios y más concretamente a las operaciones, le he preguntado a mi profesor porqué se le cambia el signo y no me ha dicho porqué. Me gustaría saber si hay una demostración y cuál es. Gracias de antemano. Saludos cordiales.

Si te refieres a la resta entre polinomios, recuerda que "restar" consiste en "sumar el opuesto":
Si, por ejemplo, tienes: p(x) = x2 - 3x + 6, y tienes q(x) = - 4x + 2, entonces:
a) p(x) - q(x) = p(x) + ( - q(x) ) = (x2 - 3x + 6) + ( + 4x - 2) = sumamos términos de igual grado:
= x2 + (- 3x + 4x) + (6 - 2) = x2 + 1x + 4.
Luego, recuerda que en algunos pasos del algoritmo de división de polinomios también restamos, o sea: sumamos el opuesto y, por lo tanto, debemos cambiar los signos.
Espero haberte ayudado.
Con esta pregunta me dirijo a David, pues no se como comunicarme con él. Podrías poner algún video de progresiones aritméticas y progresiones geométricas. Gracias.
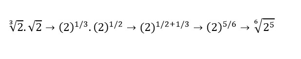
otro ejercicios de raices
raiz a la tres de 2 por raíz de dos. Es que no se como se escriben las expresiones matemáticas con la herramientas aquí disponibles. en este ejercicio el (2 por raiz de dos)todo eso esta metido en una raiz de tres.
Quisiera hacer una pregunta sobre esta página de únicos. Si yo pagué los 18 euros para tener el plan máximo de sin problemas, ¿Como se accede a los exámenes y a las demás ventajas de dicho plan? Gracias.