
Estudiemos cada factor fraccionario por separado:
El factor:
Numerador: N1 = x2 - 4y2 = observa que es una diferencia de cuadrados perfectos = (x + 2y)(x - 2y);
Denominador: D1 = xy - 2y2 = extraemos factor común = y(x - 2y);
luego planteamos la expresión fraccionaria:
N1/D1 = (x + 2y)(x - 2y) / y(x - 2y) = simplificamos = (x + 2y)/y.
El divisor:
Numerador: N2 = 3x2 - 5xy - 2y2 = 3x2 + xy - 6xy - 2y2 = extraemos factor común por grupos:
= x(3x + y) - 2y(3x + y) = extraemos factor común = (x - 2y)(3x + y);
Denominador: D2 = 3xy + y2 = y(3x + y);
luego planteamos la expresión fraccionaria:
N2/D2 = (x - 2y)(3x + y) / y(3x + y) = simplificamos = (x - 2y)/y.
Luego, sustituimos el factor y el divisor por sus expresiones simplificadas y queda:
N1/D1 ÷ N2/D2 = (x + 2y)/y ÷ (x - 2y)/y = resolvemos = (x + 2y)y / y(x - 2y) = simplificamos = (x + 2y)/(x - 2y).
Espero haberte ayudado.
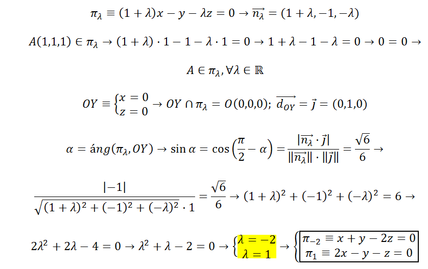
podéis ayudarme? La ecuación de un haz de planos es (1 + λ)x - y - λz = 0, y λ es un parámetro real. Teniendo en cuenta:
a- determina los haces de planos que pasan por el punto A(1,1,1,)
b- determina qué planos del haz cumplen esta condición: salir del eje OY y cuyo seno del ángulo que forman sea √6/6
Buenos días
Tengo un problema con un par de derivadas de 1o de carrera de química (utilizando la regla de la cadena), es que no me salen las soluciones que pone en la hoja:
Derivada de f(x)=(tan^2(x))/raiz de x --> f'(x)=(2*raiz de x*tan^3(x)+2*raiz de x*tanx-tan^2(x))/2*x*raiz de x
Derivada de f(x)=ln(raiz cuadrada de la cotangente de x) --> f'(x)=(-cosec(x))/(3*raiz de cotangente de x)
¿Son correctos los resultados de estas derivadas?
Muchas gracias
Buenas Antonio me podrías ayudar con este ejercicio?
Actividad 1:
Dados los vectores u (6, –6) y v(3, 4) Calcula:
a) Su producto escalar.
b) El módulo de los vectores u y v.
c) El ángulo que forman.
d) Cuánto tiene que valer k para que el vector w ( k ,3) sea ortogonal al vector u(6,-6)
a) Te dan dos vectores. El producto escalar, tiene que dar siempre un número y no otro vector, pues escalar significa 'número' . El procedimiento a seguir es multiplicar la coordenada de 'x' de U con la coordenada 'x' de V y la coordenada 'y' de U con la 'y' de V. Tal que: (6*3)+(-6*4) =18-24= -6
b) el módulo de un vector es la raíz cuadrada de la suma de cada una de sus componentes al cuadrado. Tal que:
modulo de u =√62 + (-6)2 = √72 Unidades
El módulo de v = √32 + 42 = √25 = 5 Unidades
c) sabiendo hallar el módulo y el producto escalar hallar el ángulo es realmente sencillo, pero eso te lo dejo a ti de trabajo. Busca en internet la fórmula del producto escalar y despejas. Es una ecuación de primer grado tampoco te agobies.
d) Para que dos vectores sean ortogonales, es decir, PERPENDICULARES, el producto escalar entre sus vectores tiene que ser 0. Y acuérdate bien de esto porque te hartarás de utilizarlo en Álgebra cuando llegues a la universidad.
Por lo tanto imponemos: ( k ,3) * (6,-6) = 0 ------> 6K -18 = 0 -----> K = 18/6 --> k= 3
Hola, alguien me puede ayudar con este ejercicio? Si llegan en algun momento a x^30 o algo asi van por buen camino. Es urgente, no me da y tengo examen de esto. Gracias!

Observa que el primer miembro puede escribirse, luego de distribuir las raíces entre sus factores:
16√(2)*8√(x)*4√(x)*√(x) = 21/16*x1/8*x1/4*x1/2 = 21/16*x1/8+1/4+1/2 = 21/16*x7/8.
Observa que el segundo miembro puede escribirse, luego de distribuir las raíces entre sus factores:
64√(5)*32√(x)*16√(x)*8√(x)*4√(x)*√(x) = 51/64*x1/32*x1/16*x1/8*x1/4*x1/2 = 51/64*x31/32.
Luego, la ecuación queda:
21/16*x7/8 = 51/64*x31/32, elevamos a la potencia con exponente 32 en ambos miembros, distribuimos y queda:
22*x28 = 51/2*x31, resolvemos el factor constante en el primer miembro, hacemos pasaje de término y queda:
4*x28 - 51/2*x31 = 0, extraemos factor común en el primer miembro y queda:
x28*(4 - 51/2*x3) = 0, luego, por anulación de un producto, tenemos dos opciones:
a) x28 = 0, hacemos pasaje de potencia como raíz y queda:
x = 28√0), resolvemos y llegamos a:
x = 0.
b) 4 - 51/2*x3 = 0, hacemos pasaje de término y queda:
- 51/2*x3 = - 4, hacemos pasaje de factor como divisor y queda:
x3 = 4/51/2 = 161/2/51/2 = (16/5)1/2, hacemos pasaje de potencia como raíz entre el primero y el último miembro de la cadena de igualdades y queda:
x = ( (16/5)1/2 )1/3, resolvemos los exponentes y llegamos a:
x = (16/5)1/6.
Espero haberte ayudado.
Me pueden ayudar con este ejercicio,
-Un examen de capacitación a funcionarios administrativos tiene puntuaciones que se distribuyen según un modelo normal se sabe que el percentil 30 es 3,7 puntos. ademas, la probabilidad de que el puntaje supere los 7 es de 53% determine el valor esperado del puntaje y calcule la probabilidad de que un funcionario escogido al azar tenga un puntaje entre 4 y 6,2 puntos.
Entonces seria así
P(x=3,7)=0,3 , P(x>7)= 0,53 entonces P(x<7)= 0,47... remplazando en tabla y así seguiría esta bien ? luego P(4<x<6,2) verdad?