
¿Y tu duda es? Para el primero A^(-1).X.B =B² +2CD... A.A^(-1).X.B =A.[B² +2CD] ... X.B =A.[B² +2CD] ... X.B.B^(-1) =A.[B² +2CD].B^(-1) ... X =A.[B² +2CD].B^(-1) ...
Y ahora, opera... Te sugiero Ecuaciones matriciales
Para el segundo.. Programación lineal
Se trata de que DESPUES DE IR A CLASE (ver los vídeos relacionados con vuestras dudas) enviéis dudas concretas, muy concretas. Y que nos enviéis también todo aquello que hayais conseguido hacer por vosotros mismos. Paso a paso, esté bien o mal. No solo el enunciado. De esa manera podremos saber vuestro nivel, en que podemos ayudaros, cuales son vuestros fallos.... Y el trabajo duro será el vuestro. Nos cuentas ¿ok? #nosvemosenclase ;-)
Ayudemen verificando un ejercicio de interes compuesto. Ya revisé los videos de unicos y tengo duda es porq el interes es semestral y no sé si lo convierto en anual. Cual sera el interes generado en dolares. Por un capital de 9800 en un tiempo de 14 semestres a una tasa de interes del 11% semestral con capitalizacion mensual. A mi me da la respuesta 35279.88 pero quisiera q ustedes me ayuden afirmandome o diciendome si es errado mi resultado
POR FAVOR AYUDAME CON TU WHATSSAP, TENGO PROBLEMAS PARA CAMBIAR LA TASA DE INTERES CON EL TIEMPO, YA QUE UNA ME LA DAN BIMESTRAL Y EL OTRO SEMESTRAL Y ES AHI DONDE ME CONFUNDO, TE LO IMPLORO AYUDAME , TENGO QUE SUBIR MI TAREA, PERO AUNQUE YA LA TERMINÉ NECESITO QUE ALGUIEN ME LA REVISE ANTES DE SUBIRLA A LA PLATAFORMA

Es tan sencillo como calcular SIEMPRE el interés mensual. Para ello:
i=(1+interes que te dan)1/meses que se aplica ese interes -1
Por ejemplo, un 4% bimensual sería:
i=(1+0,04)1/2 -1
Un 12% trimestral:
i=(1+0,12)1/3 -1
Este nuevo interés será el utilizado en la formula del interés compuesto donde el tiempo SIEMPRE irá en meses.
C=Co(1+i)meses
Salu2
Este ejercicio no lo entiendo me dice:
existe un subespacio vectorial S ≠ {0} / S∩W = {0} siendo W={(x;y;z)∈R3/ x-y-z=0
Me podrian dar una mano pero comentandome masomenos lo que significa , no solo la resolucion algebraica porque necesito entender la teoria de esto. Muchas gracias de corazon
Hola unicoos os voy a molestar mucho porque se acerca mi final de Algebra , pero todas mis dudas van a ser solo para verificar que mis respuestas estan bien.
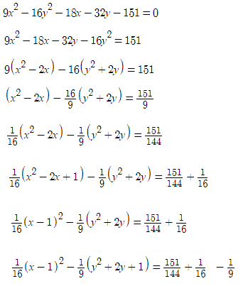
Completando cuadrados, obtener la ecuación canónica de la siguiente cónica, identificarla, hallar las coordenadas del centro, calcular su excentricidad y los elementos principales, realizar una representacion grafica aprox.
Hola unicoos. Necesito saber si el ejercicio lo resolvi bien, aqui va el enunciado
Obtener la ecuacion canonica de la elipse con focos en los puntos (0;5) y (0;-5) y excentricidad 5/8.
Lo que hice fue mediante la excentricidad determinar los valores de c y a, ya que e= c/a entonces c=5 y a=8, por lo tanto al tener esos valores puedo obtener tambien el valor de b usando la formula :
a2=b2+c2 El valor de b resulta ser b=√39 entonces me quedo que la ecuacion canonica es ![]()
Alguie me puede ayudar con estos ejercicios, son ejercicios de Pau y necesito la solución porque no la he podido encontrar

Se trata de que DESPUES DE IR A CLASE (ver los vídeos relacionados con
vuestras dudas) enviéis dudas concretas, muy concretas. No podemos ni debemos haceros ejercicios de 5 en 5.... Y que nos enviéis
también todo aquello que hayais conseguido hacer por vosotros mismos. Paso a
paso, esté bien o mal. No solo el enunciado. De esa manera podremos saber
vuestro nivel, en que podemos ayudaros, cuales son vuestros fallos.... Y el
trabajo duro será el vuestro. Nos cuentas ¿ok? #nosvemosenclase ;-)