Foro de preguntas y respuestas de Matemáticas

logo beUnicoos
Los foros de unicoos se han unificado en nuestra nueva plataforma beUnicoos. Para dejar nuevas preguntas deberás hacerlo allí, donde además podrás encontrar nuevas asignaturas y herramientas para ayudarte más con tus estudios.

  • icon

    jose
    el 19/12/16

    hola alguien me podria ayudar con esta derivada? si pudiera ser con todos los pasos que se siguen mejor, muchas gracias


    replythumb_up0 voto/sflag
    icon

    Tora Kevin Yack Quispe Tapia
    el 19/12/16

    para eso hay formula y y para derivar una funcion dentro de una raiz cuadrada tambien ya esta casi resuelto deriva eso que falta y ya estara tu ejercicio saludos

    thumb_up0 voto/sflag
    icon

    Elías Francisco García Verstraete
    el 19/12/16

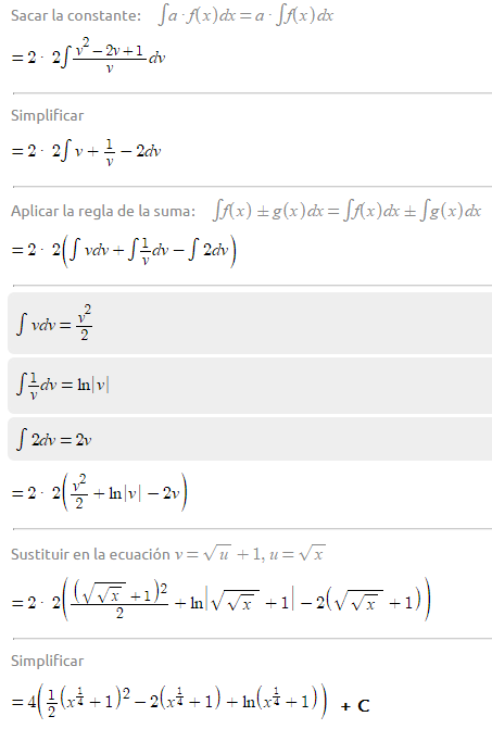
    Hola jose,

    He resuelto tu problema. Comprueba los pasos para asegurarte de que no hay ningún fallo. Feliz de ayudar.

    Mostrando IMG_1314.JPG

    thumb_up0 voto/sflag
    icon

    Tora Kevin Yack Quispe Tapia
    el 19/12/16

    elias entre a tu enlace al parecer no esta disponible la img por favor subela de nuevo quiero verla yo tambien

    thumb_up0 voto/sflag
    icon

    Ángel
    el 19/12/16


    thumb_up1 voto/sflag
  • icon

    Bet
    el 19/12/16


    Según las claves sale la B), pero según yo con la (1) sería suficiente para determinar qué fracción del circulo es el area del triangulo, ya  que si dice que la hipotenusa es 5, podemos decir que el radio es 2,5, y con eso también determinar la altura del triangulo y sacar area

    replythumb_up0 voto/sflag
    icon

    Antonius Benedictus
    el 19/12/16

    Como todos los ángulos inscritos en una circunferencia cuyo arco abarcado sea una semicircunferencia son rectángulos, con el dato II tienes, por Pitágoras que el diámetro vale 5. Por tanto:, el área del triángulo es 6 cm2  y el área del círculo es π·(2'5)2

    thumb_up0 voto/sflag
  • icon

    Elena Wang
    el 19/12/16

    Me podrían ayudar con estas dos integrales?? Muchísimas gracias.

    replythumb_up0 voto/sflag
    icon

    Ángel
    el 19/12/16

    Te va la segunda:



    thumb_up0 voto/sflag
  • icon

    Alba Collar
    el 19/12/16

    Alguien me podria ayudar a representar en una grafica e^x+1 obteniendo previamente sus elementos mas significativos (cortes con los ejes, asintotas...). Porfavooor tengo mañana examen.

    replythumb_up0 voto/sflag
    icon

    César
    el 19/12/16

    VA Alba , mala cosa dejar estas cosas para ayer, en fin suerte

    thumb_up0 voto/sflag
    icon

    Alba Collar
    el 19/12/16

    gracias cesar y una cosa mas, ¿si me ponen e^(x+1), es lo mismo? me lo podrias hacer igual que el otro porfavor.

    thumb_up0 voto/sflag
    icon

    Ángel
    el 19/12/16

    Obviamente ex +1 no es lo mismo que ex+1


    Tiene dominio (-infinito,infinito)

    Es estrictamente creciente

    No intersecta con el eje x

    Intersecta con el eje y en el (0,e)

    No hay puntos críticos, por lo tanto no tiene extremos


    thumb_up0 voto/sflag
  • icon

    lbp_14
    el 19/12/16

    Hola Unicoos, me podrían ayudar con este ejercicio de números complejos? 

    He hecho esta operación, creo que no es correcta. 

    Muchas gracias. 

    replythumb_up0 voto/sflag
    icon

    César
    el 19/12/16

    Fijate que a partir del grado 5 los resultados son iguales

    thumb_up0 voto/sflag
    icon

    César
    el 19/12/16

  • icon

    Silvia Alonso Toledano
    el 19/12/16

            ¿ ALGUIEN PUEDE RESOLVERME ESA DERIVADA ? MUCHAS GRACIAS

    replythumb_up0 voto/sflag
    icon

    César
    el 19/12/16

    Va silvia

    thumb_up0 voto/sflag
  • icon

    Romina
    el 19/12/16

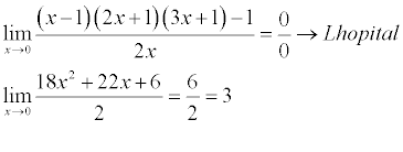
    me pueden ayudar con el 23??

    replythumb_up0 voto/sflag
    icon

    César
    el 19/12/16

    VA Romina 

    thumb_up1 voto/sflag
  • icon

    Inmaculada Sánchez
    el 19/12/16





    El siguiente ejercicio me da valores muy altos por lo que dudo del resultado ¿Alguien me ayuda?

    replythumb_up1 voto/sflag
    icon

    César
    el 19/12/16

    865/1788

    thumb_up0 voto/sflag
    icon

    lbp_14
    el 19/12/16


    thumb_up2 voto/sflag
  • icon

    Esther
    el 19/12/16

    Se que es absurdo, pero estoy repasando para el gobal y no se que hacer con los numero negativos elevados a exponentes negativos de esta operación con potencias. Gracias.

    replythumb_up0 voto/sflag
    icon

    Victoria vega
    el 19/12/16

    Es algo así para que veas la idea del exponente megativo aunque el resultado no es el correcto por lo que veo

    thumb_up0 voto/sflag
  • icon

    Inmaculada Sánchez
    el 19/12/16

    Otro ejercicio que tengo duda:

    (1/2)3: (1/4)2 =

    este ejercicio me da:1/2

    pero no estoy segura

    replythumb_up0 voto/sflag
    icon

    Victoria vega
    el 19/12/16

    se divide en cruz (siempre puedes comprobar con la calculadora)

    thumb_up0 voto/sflag