Foro de preguntas y respuestas de Matemáticas

logo beUnicoos
Los foros de unicoos se han unificado en nuestra nueva plataforma beUnicoos. Para dejar nuevas preguntas deberás hacerlo allí, donde además podrás encontrar nuevas asignaturas y herramientas para ayudarte más con tus estudios.

  • icon

    Pao
    el 19/12/16
    flagflag

    ¿No existen vídeos de algoritmos, diagrama de flujos?
    Variables, trazas...?

    replythumb_up0 voto/sflag
    icon

    David
    el 20/12/16

    No... No se da en matematicas ante de la universidad...  Ni siquiera en la asignatura de matwmaticas, propiamente dicha... Lo siento

    thumb_up0 voto/sflag
  • icon

    Maximiliano Turresz
    el 19/12/16

     como queda esto con regla de la cadena ? gracias de ante mano.

    replythumb_up0 voto/sflag
    icon

    Hugo
    el 19/12/16

    Analize los videos de unicos joven.

    thumb_up1 voto/sflag
    icon

    Hugo
    el 19/12/16

    f(x) = [ (y-1)/(y+1) ]^(1/2)  --> f'(x) = 1/2 * [ (y-1)/(y+1) ]^(-1/2) * [ (2)/(y+1)^2 ] = 1/raiz[ (y-1)/(y+1) ](y+1)^2

    thumb_up1 voto/sflag
    icon

    Maximiliano Turresz
    el 22/12/16

      No puedo volver a comentar me podrias recomendar un video para movimiento erratico pero no MRU solo movimiento erratico please

    thumb_up0 voto/sflag
  • icon

    Tora Kevin Yack Quispe Tapia
    el 19/12/16

    haciendo derivadas en un ejercicio llegue a algo que no podia y era como hallar esto:


    cosec-1 (x)=√2

    ayuda por favor intente haciendo con triangulos y si sale pero que pasaria si no fuese un triangulo notable

    replythumb_up0 voto/sflag
    icon

    Antonio Silvio Palmitano
    el 19/12/16

    Por favor, envía el enunciado para que podamos ayudarte.

    thumb_up0 voto/sflag
    icon

    Tora Kevin Yack Quispe Tapia
    el 19/12/16

    y=x2 cosec-1 (x)                               x=2

    logro derivarlo pero cuando reemplazas x en la cosecante sale algo que no logro entender debe resultar π+1



    thumb_up0 voto/sflag
  • icon

    emerson acosta
    el 18/12/16

    Me ayudan con esta integral?

    ∫√(1+sin(x))

    solo se me ocurre U= 1+sin(x) → sin(x)= U -1  pero ya de ahi no se que mas hacer

    claro tambien es algo evidente du/cos(x)=dx

    -Gracias de antemano

    replythumb_up0 voto/sflag
    icon

    Hugo
    el 18/12/16

    Multiplica por raiz(1-sin(x)) para que resulte  ∫raiz(1-sen^2 (x))dx / raiz(1-sin(x)) = ∫ cos(x) dx / raiz(1-sin(x)) = hace u = 1-sin(x) --> du = -cos(x)dx --> -du = cos(x)dx 

    ∫ -du/raiz(u) = - ∫ u^(-1/2) du = - 2u^(1/2) = -2√(1-sin(x)) + K

    thumb_up1 voto/sflag
  • icon

    SOLEDAD GONZÁLEZ MERINO
    el 18/12/16

    Muchas gracias Maths por tu respuesta, muy clara gracias eso es lo q necesitaba. GENIAL

    replythumb_up0 voto/sflag
    icon

    Ángel
    el 18/12/16

    Nada...Muchas veces jaja

    thumb_up0 voto/sflag
  • icon

    nacho cavs
    el 18/12/16

    Como derivar lo sig f(x)=3Ln(3x^2+2)%Sen^2x 

    Pls

    replythumb_up0 voto/sflag
    icon

    Ángel
    el 18/12/16


    thumb_up0 voto/sflag
  • icon

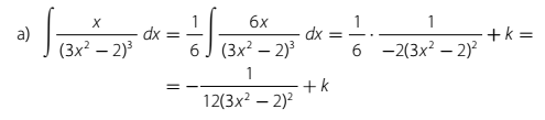
    Juan Tomas
    el 18/12/16

    No comprendo como la integral puede dar eso, no comprendo el paso de resultado, si el denominador no estuviese elevado al cubo sabría que es una de logaritmo pero en estos casos no se resolver ese tipo de integral. Gracias al que se moleste :)

    replythumb_up0 voto/sflag
    icon

    Antonius Benedictus
    el 18/12/16

    A lo mejor lo ves mejor con un cambio de variable:


    thumb_up2 voto/sflag
    icon

    Marcos
    el 18/12/16

    Hola, lo que tenes que hacer en este ejercicio es lo siguiente : 

    1) Sustituir: u=x2 

                          du= 2x dx

    La integral ahí te quedaría ∫  1/(2(3u - 2)3)

    2) Sacas la constante afuera 1/2 ∫  1/(3u - 2)3  du

    3) Sustituir nuevamente: v= 3u - 2

                                                 dv= 3du

    La integral ahí te quedaría 1/2 ∫ 1/(3v3 ) dv

    4) Sacas la constante afuera 1/2 * 1/3 ∫ 1/v3 dv

    5) Un poco de álgebra: 1/6 ∫  v-3 dv

    6) Resolvemos la integral: 1/6 * v-2 / -2

    7) Substituimos v y luego u (hago los dos pasos en uno): 1/6 * (3x2-2)-2 / -2

    8) Algebra y simplificamos -1/(12(3x2-2)2 + c


    Espero haberte ayudado, cualquier cosa pregunta de vuelta. Saludos


     

    thumb_up1 voto/sflag
  • icon

    SOLEDAD GONZÁLEZ MERINO
    el 18/12/16

    En una universidad, en el año 2009 había 10400 alumnos matriculados, y en el 2014 13200. estima cuántos había 

    a)en el año 2010

    b) en el año 2012

    c) en el año 2007

    d) cuánros cabe esperar que haya en el 2017?

    d) y en el 2047?

    Es de mi hija y tiene que resolverlo con las formulas de interpolación lineal, hallando la pendiente y luego sustituyendo en la ecuación de una recta en la forma punto pendiente.

    Epero que me entiendan lo que debe de hacer. Muchas gracias



    En el problema que propuse anteriormente.

    replythumb_up0 voto/sflag
    icon

    Ángel
    el 18/12/16

    Vamos a calcular la ecuación y=mx+n

    m=560 (coeficiente de x)


    10400/560=18,57

    Entonces hacemos 10400-18*560=320=n


    2009-18=1991=x2

    "En el 1991 habría 320 alumnos"

    x= x1 -x2

    x1= Año del que queramos saber cuantos alumnos habían


    Nos queda:

    y=m(x1 - x2)  +n

    y=560(x1-1991) + 320


    "y" es el número de alumnos en el año x1


    thumb_up1 voto/sflag
  • icon

    IRENE
    el 18/12/16
    flag

    me pueden porfavor,decir algunos ejercicios,con las soluciones, de operaciones con fracciones algebraicas, pues estoy buscando y ninguna se acuerda a mi nivel de 3º de la eso.Gracias

    replythumb_up0 voto/sflag
    icon

    César
    el 18/12/16

    icon

    Ángel
    el 18/12/16

    De polinomios, inecuaciones, identidades notables?

    Concreta un poco más 

    thumb_up0 voto/sflag