hola me pueden ayudar con este ejercicio. Calcular el área de la región acotada por las
tres curvas: y=1/x, y=x, y=1/4 x ; concicion x>0
Encuentra los valores de la variable x, tal que la pendiente de la recta tangente a la grafica de la funcion f(X)=Ln(x^2+5x+3) en el punto (x,f(x)) vale 3.
Es de la universidad y me lo han pedido para finales de esta semana. Ayudame por favor, he mirado videos y no sale nada parecido, he intentado igualar la derivada a la pendiente y sacar la x, pero me da error y esta mal.
Hola. Es posible desarrollar esta ecuación: 3^x + 2x = 33 (3^x:"3 elevado a x"). Gracias de antemano.

Observa que la ecuación del enunciado:
3x + 2x = 33
es una ecuación trascendente, ya que tiene un término exponencial, uno lineal y uno constante, por lo que no se puede resolver con métodos algebraicos simples.
Si pruebas valores, verás que x = 3 es una solución.
Espero haberte ayudado.
Buenas,
No hay videos de Series de Fourier ni tampoco explicando Funciones de Varias Variables ¿no?
Seria todo un detalle para los universitarios que se hiciese algun video sobre estos temas.
Gracias de antemano

No es posible despejar X por varios motivos, entre ellos:
el producto de matrices no es conmutativo, y las matrices B y BT no son invertibles (observa que sus determinantes son iguales a cero).
Luego, debes plantear una matriz X con elementos genéricos:
X =
( x y )
( z w)
y luego efectuar las operaciones.
Si lo haces verás que te quedará un sistema de cuatro ecuaciones lineales con cuatro incógnitas, que son los elementos de la matriz X.
Haz el intento, y si te resulta necesario puedes volver a consultar.
Espero haberte ayudado.
Hola muy buenas tengo una duda. Quisiera saber como hallo el límite cuando x tiende a mas infinito de (e^x)/x . Y el límite cuando x tiende a menos infiinito de (e^x)/x. Muchas gracias de antemano.

Para x tendiendo a -infinito, observa que el numerador tiende a cero y que el denominador tiende a - infinito, por lo que el límite de la función es cero.
Para estudiar el comportamiento de la función cuando x tiende a +infinito, veamos primero el comportamiento de la función cuya expresión es:
y = ex - x, observa que es continua y también derivable en todo R, por lo que planteamos su derivada primera:
y ' = ex - 1, observa que está definida en todo R, luego planteamos la derivada segunda:
y ' ' = ex, observa que toma valores estrictamente positivos, por lo que tenemos que la función y es cóncava hacia arriba en todo R;
luego plantamos la condición de punto crítico (posible máximo o posible mínimo):
y ' = 0, luego sustituimos y queda:
ex - 1 = 0, hacemos pasaje de término y queda:
ex = 1, componemos en ambos miembros por la función inversa de la exponencial natural y queda:
x = 0.
Luego, a partir de las dos expresiones remarcadas, tenemos que la función y presenta un mínimo absoluto en x = 0 (haz un gráfico tentativo para visualizarlo), y que tiende a +infinito cuando x tiende a +infinito, por lo que tenemos que la expresión ex del primer término es mucho mayor que la expresión x del segundo término, en la expresión de la función (y = ex - x).
Luego, tenemos que ex es de mayor orden de magnitud que x, cuando x tiende a +infinito.
Luego pasamos al límite de tu enunciado:
Lím(x→+∞) ex/x = +∞, porque el numerador es de mayor orden de magnitud que el denominador, aunque los dos tiendan a + infinito.
Otra forma de resolver el ejercicio es aplicar la Regla de L'Hôpital.
Espero haberte ayudado.
Hola Unicoos:)
Tengo una inecuación resuelta en mi cuaderno copiada de mi profesor, pero no entiendo como obtiene los signos en cada uno de los trozos de la recta.
Yo se hallar el signo que va a tener al final cada trocito, pero mi profesor, no se cómo ni porqué , pone siempre las inecuaciones de la forma (X- a) y luego lo hace como aparece en la foto.
Si alguien me pudiera explicar como lo hace, estaría muy agradecida, porque no nos deja calculadora y nos ha dicho ese método para que no la necesitemos, porque este es el ejemplo más sencillo que tengo, pero los demás se complican bastante.
Gracias de antemano.

Tienes la inecuación: (x - 2)(x - 3) > 0 (en palabras: "el producto de un número real restándole dos, por el mismo número real restándole tres, es estrictamente positivo").
Luego, como tenemos un producto estrictamente positivo tenemos dos opciones: 1) x - 2 < 0 y x - 3 < 0, o 2) x - 2 > 0 y x - 3 > 0.
Luego, analizamos las dos opciones por separado, de cada una de ellas obtendremos un intervalo, y el intervalo solución resultará ser la unión de dichos intervalos.
1) Observa que deben cumplirse dos condiciones:
x - 2 < 0 (en palabras: "x - 2 es estrictamente negativo"), haces pasaje de término y queda: x < 2 (en tu gráfico, x - 2 es negativo a la izquierda de 2), y
x - 3 < 0 (en palabras: " x - 3 es estrictamente negativo"), haces pasaje de término y queda: x < 3 (en tu gráfico: x - 3 es negativo a la izquierda de 3), luego
el intervalo correspondiente a esta opción es: I1 = (-∞,2) (en tu gráfico: las dos condiciones se cumplen simultáneamente a la izquierda de 2).
2) Observa que deben cumplirse dos condiciones:
x - 2 > 0 (en palabras: "x - 2 es estrictamente positivo"), haces pasaje de término y queda: x > 2 (en tu gráfico, x - 2 es positivo a la derecha de 2), y
x - 3 > 0 (en palabras: " x - 3 es estrictamente positivo"), haces pasaje de término y queda: x < 3 (en tu gráfico: x - 3 es positivo a la derecha de 3), luego
el intervalo correspondiente a esta opción es: I2 = (3,+∞) (en tu gráfico: las dos condiciones se cumplen simultáneamente a la izquierda de 2).
Luego, concluimos que el intervalo solución es:
I = I1 u I2= (-∞,2) u (3,+∞).
Espero haberte ayudado.

Otra manera de realizarlo menos "elegante" que la propuesta por Antonio (que es como debería hacerse) es sustituir a la inecuación por un número de cada intervalo y mirar si se cumple.
1r tramo: Un número posible es el 0. (0-2)(0-3)=6, ¿6>0? sí, ese intervalo (-∞,2) es correcto.
2o tramo: Un número posible es el 2,5. (2,5-2)(2,5-3)=-0,25; ¿-0,25>0? no, el intervalo (2,3) no forma parte de la solución.
3r tramo: Un número posible es el 5. (5-2)(5-3)=6, ¿6>0? sí, ese intervalo (3,∞) forma parte de la solución.
Así la solución es (-∞,2) u (3,+∞)
Espero que te ayude. Salu2.
una particula alfa (q=+2) se desplaza en la direccion positiva X con una velocidad V=0,0050c=1,10*10∧6m/s. cuando se hallan en el origen. Calcule el campo magnético en P(X=0, y=0, z=0)
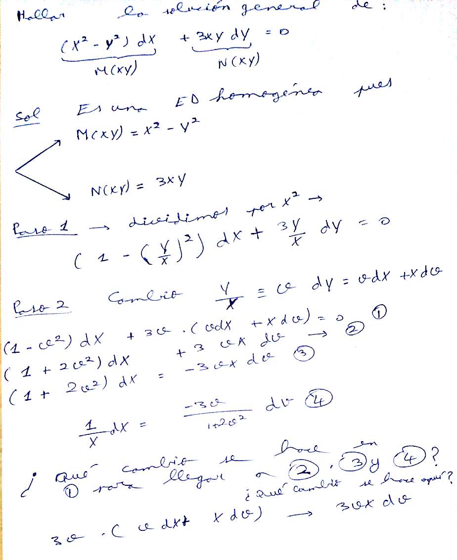
Hola, tengo una duda con esta ecuación diferencial, en la foto detallo las dudas, pero vamos que no sé aué cambio hacen en 1. Gracias![]()

Tienes la ecuación diferencial:
(x2 - y2)dx + 3xy dy = 0, divides en todos los términos de la ecuación por x2 y queda:
( (x2 - y2)/x2 )dx + ( 3xy / x2 )dy = 0 / x2, distribuyes en el primer término, simplificas en todos los términos y queda:
( 1 - (y/x)2 )dx + 3(y/x)dy = 0 (1).
Luego planteas la sustitución (cambio de variable):
y/x = v, de donde tienes: y = xv, luego planteas su diferencial y también tienes: dy = vdx + xdv,
luego sustituyes y queda:
(1 - v2)dx + 3v(vdx + xdv) = 0 (2), distribuyes el segundo término y queda:
(1 - v2)dx + 3v2dx + 3xvdv = 0, extraemos factor común dv en los dos primeros términos y queda:
(1 + 2v2)dx + 3xvdv = 0 (3), haces pasaje de término y queda:
(1 + 2v2)dx = - 3xvdv, haces pasajes de factores como divisores para separar variables y queda:
(1/x)dx = - 3vdv/(1 + 2v2) (4).
Luego debes integrar, y observa que en el segundo miembro debes aplicar la sustitución (cambio de variable): w = 1 + 2v2.
Espero haberte ayudado.