Hola, en este video: https://www.youtube.com/watch?v=E9oOHvoEKCk hay una integral que son como "Deberes" pero no sé como seguir a partir de un punto, puedo saber como continuar? Gracias![]()

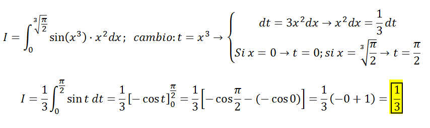
Puedes plantear la sustitución (cambio de variable):
w = x3, de donde tienes: dw = 3x2dx, y luego tienes: dw/3 = x2dx,
luego, observa que que para los límites de intergración tienes:
para x = 0, corresponde w = 03 = 0, y
para x = ∛(π/2), corresponde: w = π/2.
Luego, pasamos a la integral:
I = ∫ sen(x3)x2dx, sustituimos, extraemos factores constantes y queda:
I = (1/3) ∫ senw dw = (1/3)*[- cosw], luegoevaluamos y queda:
I = (1/3)*( - cos(π/2) + cos(0) ) = (1/3)*(0 + 1) = 1/3.
Espero haberte ayudado.
Buanas tardes unicoos quiero ayuda con este ejercicio.Sabiendo que el modulo |vector u+el vector v|=8 y el modulo |vector u -vector v|= 6 .Calcular U*V=?

Debes recordar que el producto escalar (lo indicamos: *) es conmutativo, y la propiedad del producto escalar de un vector por si mismo: a*a = |a|2.
Luego puedes plantear:
|u + v|2 = (u + v)*(u + v) = u*u + u*v + v*u + v*v = |u|2 + 2u*v + |v|2 = 82;
|u - v|2 = (u - v)*(u - v) = u*u - u*v - v*u + v*v = |u|2 - 2u*v + |v|2 = 62
Luego, con los dos últimos miembros de las cadenas de igualdades tienes el sistema de ecuaciones
|u|2 + 2u*v + |v|2 = 64
|u|2 - 2u*v + |v|2 = 36
luego restas miembro a miembro (observa que tienes cancelaciones de términos), queda:
4u*v = 28, hacemos pasaje de factor como divisor y llegamos a:
u*v = 7.
Espero haberte ayudado.
Consigna:
Para el espacio vectorial de los polinomios (P3, + , R, . )
Escribe un sistema de generadores que No sea base y una base del mismo.
Desde ya muchas gracias.

Puedes tomara la base canónica del espacio vectorial cuyos elementos son los polinomios con grado menor o igual que tres: Bc = {1,x,x2,x3],
y para obtener un conjunto generador que no sea base del espacio vectorial, le agregas algún elemento (o algunos elementos) al conjunto anterior, por ejemplo:
G = { 1,x,x2,x3 , 1+x }.
Espero haberte ayudado.
Hola a todos, me gustaria resolver este ejercicio con el que llevo unas horas, y no termino de obtenerlo: En el espacio vectorial R^4, encontrar un vector que forme una base del mismo junto a los tres siguientes: (1, −1, 1, 0),(2, −1, 0, 1),(1, 0, −2, 1). por favor a ver si alguno podria ilustrarme!! gracias
María fue a nadar ayer. cuando había hecho un quinto de la distancia prevista se tomo un descanso. después de hacer seis largos mas había cubierto un cuarto de lo que iba a hacer. ¿cuantos largos tenia programado hacer?
los numeros x e y satisfacen las ecuaciones x(y+2)=100, y(x+2)=60. ¿cual es el valor de x-y?
Despejo x en la primera ecuación. x=100/(y+2)
Sustituyo la primera en la segunda ecuación. y[100/(y+2)+2]=60
Opero. y[100+2(y+2)]/(y+2)=60
y(100+2y+4)=60(y+2)
y(104+2y)=60y+120
104y+2y2=60y+120
2y2+44y-120=0
y2+22y-60=0
Dos soluciones y1=2,45, y2=-24,45
Sustituyo en la primera ecuación
Para y1=2,45, x1=22,47
Para y2=-24,45, x2=-4,45

Una forma alternativa. Distribuyes en ambas ecuaciones y queda el sistema:
xy + 2x = 100
xy + 2y = 60
luego restas miembro a miembro (observa que cancelamos términos opuestos) y queda:
2x - 2y = 40,
Luego, a partir de la primera ecuación tienes:
divides por 2 en todos los términos de la ecuación y queda:
x - y = 20.
Espero haberte ayudado.