Hola, la clave está en entender la premisa de la que tienes que partir, que es que cuando x tiende a 1, el ln x vale 0. A partir de ahí, vamos paso por paso:
1) Al ser x = 1, 1 * el paréntesis es lo que haya dentro del paréntesis, con lo que llegamos al siguiente paso.
2) Sacamos factor común raíz de ln x, por lo que nos queda entre paréntesis 1 + ln ^3/2 (x). Como ln x = 0 (pues ln 1 = 0), 1 + 0 = 0.
3) De esta forma queda 1 * raiz de ln x = raíz de ln x, que es lo que finalmente queda en el denominador.
Espero haber resuelto la duda.
Un saludo,
Luis.
PD.: La próxima vez intenta escribir en minúsculas, es más fácil de leer :)
Buenas tardes! Tengo un examen mañana y entra volumenes de revolución, pero no tengo muy claro como hacer este ejercicio.. me ayudais a resolverlo porfavor?

Seguramente has hecho un gráfico tentativo, y verás que la región que genera al sólido tiene cuatro vértices: O(0,0), A(0,1/√(2π)), B(1,0), C(1,e-1/√(2π)).
Luego, para integrar respecto a y debes considerar dos subregiones y, para visualizarlas traza un segmento paralelo al eje OX desde el punto C hasta el eje OY.
Luego, observa que tienes las dos subregiones, una "por encima" de la otra en el gráfico,
1) La primera (R1, la "más baja" en el gráfico) tiene vértices en los puntos: O(0,0), B(1,0), C(1,e-1/2/√(2π)), F(0,e-1/2/√(2π)), observa que es un rectángulo limitado por la izquierda por el eje OY, cuya ecuación es x = 0, por la derecha por una recta paralela al eje OY cuya ecuación es x = 1, con y comprendido entre 0 y e-1/2/√(2π).
Luego el volumen para esta subregión queda:
V1 = π ∫ (1 - 0)2 dy, para evaluar entre 0 y e-1/2/√(2π).
2) La segunda (R2, la "más alta" en el gráfico) tiene vértices en los puntos A(0,1/√(2π)), C(1,e-1/2/√(2π)), F(0,e-1/2/√(2π)), observa que es parecida a un triángulo limitado por la izquierda por el eje OY, cuya ecuación es x = 0, por la derecha por la curva cuya ecuación es y = (1/√(2π))e^(-x2/2), que si despejas queda: x = √(ln( 1/2πy2 )), con y comprendido entre e-1/2/√(2π) y 1/√(2π).
Luego, el volumen para esta subregión queda:
V2 = π ∫ (√(ln( 1/2πy2 )) - 0)2 dy = π ∫ ln( 1/2πy2 ) dy = - ∫ ln(2πy2 ) dy, que puedes resolver con el método de integración por partes: u = ln(2πy2 ), dv = dy, y continúas con la tarea.
Luego, el volumen total es la suma de los dos volúmenes que hemos planteado.
Espero haberte ayudado.
Hola UNICOOS, tengo una duda de cómo plantear este ejercicio de integral: (X)^e^(3x2+1), la "X" está elevada a la "e" y ésta a su vez está elevada a 3x2+1; he intentado resolverlo por la primitivas (ya que estamos empezando el curso) y no veo que salga la solución.
Gracias.
Buenas unicoos, tengo una duda con un problema. Me piden que halle la ecuación vectorial al plano que es perpendicular al vector p = (1, 1, -2) y que pase por el punto (1, 2, -3). He hallado el vector v = (3, 5, 4) como perpendicular al primero, y la ecuación vectorial que me da es la siguiente: (x, y, z) = (1, 2, -3) + λ(3, 5, 4) + μ(1, 2, -3).
¿Me sirve utilizar el vector que me da el enunciado [p = (1, 1, -2)] para multiplicarlo por μ o tendría que calcular otro vector perpendicular?

Observa que tienes que el vector p es el vector normal al plano (por lo tanto no es un vector paralelo al plano), y para plantear la ecuación vectorial paramétrica del plano necesitas vectores que sean perpendiculares al vector normal, y a ellos los planteamos: u = <a,b,c>, con a, b, c números reales que debemos determinar.
Luego planteamos: p*u = 0, resolvemos el producto escalar y queda la ecuación: a + b - 2c = 0, de donde podemos despejar: b = - a + 2c.
Luego, elegimos valores para a y c, que no sean ambos iguales a cero, por ejemplo:
para a =3 y c = 4, tenemos el vector: u1 = <3,5,4>,
para a = 1 y c = 4, tenemos el vector: u2 = <1,7,4>.
Luego, la ecuación vectorial paramétrica del plano para los vectores u1 y u2 y el punto indicado en el enunciado, queda:
<x,y,z> = >1,2,-3> + λ<3,5,4> + μ<1,7,4>, con los parámetros: λ ∈ R y μ ∈ R.
(Observa que los dos vectores que empleamos en la ecuación vectorial paramétrica deben ser perpendiculares al vector p, propiedad que no cumple el segundo vector en tu ecuación),
Espero haberte ayudado.
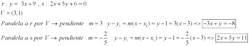
Hola Unicoos!. Necesito ayuda sobre un ejercicio de rectas y puntos notables.
El enunciado dice : Dos lados de un paralelogramo están sobre las rectas, r: y= 3x+9 , y , s: 2x+5y+6=0, y tiene un vértice en el punto (3,1) . Hallar las ecuaciones de las rectas de los otros dos lados y las coordenadas del resto de sus vértices.
Si alguien puede ayudarme necesito los procesos mas que las soluciones para poder llegar a las rectas como a los vértices. Muchas Gracias.
PD: dejo el enlace de la pagina donde esta el ejercicio y las soluciones. (Problema de rectas u puntos , ejercicio 7 ). http://www.vadenumeros.es/primero/problemas-ortocentro-circuncentro.htm
Hola, tengo una dudillla, para hacer límites de funciones con dos variables que reglas hay ?
Conozco la de límites iterados, una de taylor ( aunque por lo visto esta es bastante complicada ), la regla de Sandwich, y no conozco más
Cual sería también de todas las que hay la mejor forma para el cálculo de funciones con dos variables , muchas gracias !

Me encantaría ayudarte, pero no respondo dudas universitarias que no tengan que ver específicamente con los videos que ya he grabado como excepcion. O de otras asignaturas que no sean matemáticas, física y química. Lo siento de corazón… Espero lo entiendas
Ojalá algun unicoo universitario se anime a ayudarte (de hecho lo ideal es que todos los universitarios intentarais ayudaros los unos a los otros)
Hola, el límite de cuando x tiende a cero de la función x*senx/ΙxΙ ( equis por seno de equis entre equis en valor absoluto) existe ?

Observa que planteas los límites laterales y quedan:
a) Lím(x→0+) x*senx/x = simplificas = Lím(x→0+) senx = sen(0) = 0 (recuerda que |x| = x cuando x tiende a cero por la derecha);
b) Lím(x→0-) x*senx/(-x) = simplificas = Lím(x→0-) - senx = - sen(0) = 0 (recuerda que |x| = -x cuando x tiende a cero por la izquierda).
Luego, como los límites laterales coinciden y son iguales a cero, concluyes:
Lím(x→0) x*senx/|x| = 0.
Espero haberte ayudado.
Ayuda, Antonio Benito o César, por favor!
Paso a paso!
Gracias de antemano.
